Lei Nº 10861 DE 25/03/2019


 Publicado no DOE - MT em 25 mar 2019


Institui o Programa de Parcerias entre a Administração Pública e Organizações da Sociedade Civil para a operação, e/ou manutenção, e/ou conservação, e/ou elaboração de projetos, e/ou realização de obras e/ou investimentos nos sistemas rodoviário, aeroportuário e aquaviário de competência do Estado de Mato Grosso e/ou a ele delegados, e dá outras providências.


Sistemas e Simuladores Legisweb

A Assembleia Legislativa do Estado de Mato Grosso, tendo em vista o que dispõe o art. 42 da Constituição Estadual, aprova e o Governador do Estado sanciona a seguinte Lei:

Art. 1º Esta Lei institui o Programa de Parcerias entre a Administração Pública e Organizações da Sociedade Civil para a operação, e/ou manutenção, e/ou conservação, e/ou elaboração de projetos, e/ou realização de obras e/ou investimentos nos sistemas rodoviário, aeroportuário e aquaviário de competência do Estado de Mato Grosso e/ou a ele delegados, observadas as normas gerais previstas na Lei Federal nº 13.019, de 31 de julho de 2014, e sua regulamentação.

CAPÍTULO I DISPOSIÇÕES PRELIMINARES

Art. 2º Para os fins desta Lei, considera-se:

I - Administração Pública: Estado de Mato Grosso e respectivas autarquias, fundações, empresas públicas e sociedades de economia mista prestadoras de serviço público, e suas subsidiárias, alcançadas pelo disposto no § 9º do art. 37 da Constituição Federal;

II - parceria: conjunto de direitos, responsabilidades e obrigações decorrentes de relação jurídica estabelecida formalmente entre a Administração Pública e Organizações da Sociedade Civil, em regime de mútua cooperação, para a operação, e/ou manutenção, e/ou conservação, e/ou elaboração de projetos, e/ou realização de obras e/ou investimentos nos sistemas rodoviário, aeroportuário e aquaviário de competência do Estado de Mato Grosso e/ou a ele delegados, mediante a execução de atividade ou de projeto expressos em termos de colaboração, em termos de fomento;

III - termo de colaboração: instrumento por meio do qual são formalizadas as parcerias estabelecidas pela Administração Pública com Organizações da Sociedade Civil e propostas pela Administração Pública para a operação, e/ou manutenção, e/ou conservação, e/ou elaboração de projetos, e/ou realização de obras e/ou investimentos nos sistemas rodoviário, aeroportuário e aquaviário de competência do Estado de Mato Grosso e/ou a ele delegados, que envolvam a transferência de recursos financeiros;

IV - termo de fomento: instrumento por meio do qual são formalizadas as parcerias estabelecidas pela Administração Pública com Organizações da Sociedade Civil e propostas pelas Organizações da Sociedade Civil para a operação, e/ou manutenção, e/ou conservação, e/ou elaboração de projetos, e/ou realização de obras e/ou investimentos nos sistemas rodoviário, aeroportuário e aquaviário de competência do Estado de Mato Grosso e/ou a ele delegados, que envolvam a transferência de recursos financeiros;

V - tarifa: valor cobrado pela Organização da Sociedade Civil dos usuários pela exploração de serviços objeto de parceria, nos termos desta Lei;

VI - sistema rodoviário: rodovias estaduais, federais ou municipais transferidas por delegação de competência ao Estado de Mato Grosso para a operação, e/ou manutenção, e/ou conservação, e/ou elaboração de projetos, e/ou realização de obras e/ou investimentos;

VII - sistema aquaviário: rios, lagos e lagoas estaduais e/ou delegados, transferidos por delegação de competência ao Estado de Mato Grosso, para a operação, e/ou manutenção, e/ou conservação, e/ou elaboração de projetos, e/ou realização de obras e/ou investimentos;

VIII - sistema aeroportuário: aeroportos públicos, aeródromos públicos e suas instalações, transferidos por delegação de competência para o Estado de Mato Grosso para a operação, e/ou manutenção, e/ou conservação, e/ou elaboração de projetos, e/ou realização de obras e/ou investimentos;

IX - Organização da Sociedade Civil (OSC): entidade privada sem fins lucrativos que não distribua entre os seus sócios ou associados, conselheiros, diretores, empregados, doadores ou terceiros eventuais resultados, sobras, excedentes operacionais, brutos ou líquidos, dividendos, isenções de qualquer natureza, participações ou parcelas do seu patrimônio, auferidos mediante o exercício de suas atividades, e que os aplique integralmente na consecução do respectivo objeto social, de forma imediata ou por meio da constituição de fundo patrimonial ou fundo de reserva;

X - atuação em rede: deve ser composta por uma OSC que formalizará a parceria com a Administração Pública (OSC celebrante), a qual ficará responsável pelas ações e atuará como sua supervisora, mobilizadora e orientadora, podendo participar diretamente ou não da execução do objeto. Os demais componentes da rede serão uma ou mais OSC que executarão o objeto, mas que não assinam a parceria diretamente com a Administração Pública (OSC executantes e não celebrantes).

CAPÍTULO II DA CELEBRAÇÃO DOS TERMOS DE COLABORAÇÃO E DE FOMENTO

Seção I Normas Gerais

Art. 3º O Estado de Mato Grosso celebrará termo de colaboração ou termo de fomento com Organizações da Sociedade Civil para a operação, e/ou manutenção, e/ou conservação, e/ou elaboração de projetos, e/ou realização de obras e/ou investimentos nos sistemas rodoviário, aeroportuário e aquaviário de competência do Estado de Mato Grosso e/ou a ele delegados, em regime de mútua cooperação, com a transferência voluntária de recursos públicos.

Art. 4º As Organizações da Sociedade Civil serão selecionadas por meio de chamamento público, respeitando os princípios da legalidade, impessoalidade, moralidade, eficiência e transparência.

Parágrafo único. As normas e condições do chamamento público deverão ser regulamentadas, atendidas as disposições contidas na Lei Federal nº 13.019, de 31 de julho de 2014.

Art. 5º As Organizações da Sociedade Civil, movimentos sociais e cidadãos poderão apresentar propostas ao poder público para que este avalie a possibilidade de realização de um chamamento público objetivando a celebração de parceria, através do Procedimento de Manifestação de Interesse Social - PMIS.

§ 1º A Administração Pública deverá tornar pública a proposta em seu sítio eletrônico e, verificada a conveniência e oportunidade para realização do Procedimento de Manifestação de Interesse Social, o instaurará para oitiva da sociedade sobre o tema.

§ 2º Os prazos e regras para o PMIS serão regulamentados por decreto.

Art. 6º A realização do Procedimento de Manifestação de Interesse Social não implicará necessariamente na execução do chamamento público, que acontecerá de acordo com os interesses da Administração.

§ 1º A realização do Procedimento de Manifestação de Interesse Social não dispensa a convocação por meio de chamamento público para a celebração de parceria.

§ 2º A proposição ou a participação no Procedimento de Manifestação de Interesse Social não impede a Organização da Sociedade Civil de participar no eventual chamamento público subsequente.

§ 3º É vedado condicionar a realização de chamamento público ou a celebração de parceria à prévia realização de Procedimento de Manifestação de Interesse Social.

Seção II Do Plano de Trabalho

Art. 7º Todas as parcerias deverão constar de plano de trabalho que deverá conter, no mínimo, os seguintes elementos:

I - a descrição da realidade objeto da parceria, devendo ser demonstrado o nexo com a atividade ou o projeto e com as metas a serem atingidas;

II - a forma de execução das ações;

III - a descrição de metas quantitativas e mensuráveis a serem atingidas;

IV - a definição dos indicadores, documentos e outros meios a serem utilizados para a aferição do cumprimento das metas;

V - a previsão de receitas e a estimativa de despesas a serem realizadas na execução das ações, incluindo os encargos sociais e trabalhistas e a discriminação dos custos indiretos necessários à execução do objeto;

VI - os valores a serem repassados mediante cronograma de desembolso.

CAPÍTULO III DA FORMALIZAÇÃO DA PARCERIA

Seção I Disposições Preliminares

Art. 8º As parcerias dispostas nesta Lei serão formalizadas mediante a celebração de termo de colaboração ou termo de fomento, conforme o caso, e terão como cláusulas essenciais:

I - a descrição do objeto pactuado;

II - as obrigações das partes;

III - o valor total e o cronograma de desembolso, quando for o caso;

IV - a contrapartida, quando for o caso;

V - a vigência e as hipóteses de prorrogação;

VI - a obrigação de prestar contas com definição de forma, metodologia e prazos;

VII - a forma de verificação e avaliação, com a indicação dos recursos humanos e tecnológicos que serão empregados na atividade ou, se for o caso, a indicação da participação de apoio técnico;

VIII - a obrigatoriedade de restituição de recursos, nos casos previstos nesta Lei;

IX - a definição, se for o caso, da titularidade dos bens e direitos remanescentes na data da conclusão ou extinção da parceria e que, em razão de sua execução, tenham sido adquiridos, produzidos ou transformados com recursos repassados pela Administração Pública;

X - a prerrogativa atribuída à Administração Pública para assumir ou transferir a responsabilidade pela execução do objeto, no caso de paralisação, de modo a evitar sua descontinuidade;

XI - a obrigação de a Organização da Sociedade Civil manter e movimentar os recursos em conta bancária específica, observado o disposto no art. 25 desta Lei, quando for o caso;

XII - o livre acesso dos agentes da Administração Pública, do controle interno e do Tribunal de Contas correspondente aos processos, aos documentos e às informações relacionadas a termos de colaboração ou a termos de fomento, bem como aos locais de execução do respectivo objeto;

XIII - a faculdade dos partícipes rescindirem o instrumento, a qualquer tempo, com as respectivas condições, sanções e delimitações claras de responsabilidades, além da estipulação de prazo mínimo de antecedência para a publicidade dessa intenção, que não poderá ser inferior a 60 (sessenta) dias;

XIV - a indicação do foro para dirimir as dúvidas decorrentes da execução da parceria, estabelecendo a obrigatoriedade da prévia tentativa de solução administrativa, com a participação de órgão encarregado de assessoramento jurídico integrante da estrutura da Administração Pública;

XV - a responsabilidade exclusiva da Organização da Sociedade Civil pelo gerenciamento administrativo e financeiro dos recursos recebidos, inclusive no que diz respeito às despesas de custeio, de investimento e de pessoal;

XVI - a responsabilidade exclusiva da Organização da Sociedade Civil pelo pagamento dos encargos trabalhistas, previdenciários, fiscais e comerciais relacionados à execução do objeto previsto no termo de colaboração ou de fomento, não implicando responsabilidade solidária ou subsidiária da Administração Pública a inadimplência da Organização da Sociedade Civil em relação ao referido pagamento, os ônus incidentes sobre o objeto da parceria ou os danos decorrentes de restrição à sua execução;

XVII - a inclusão de cláusula anticorrupção, conforme legislação aplicada à espécie.

Parágrafo único. O plano de trabalho constará como anexo do termo de colaboração ou do termo de fomento, que deles será parte integrante e indissociável.

Seção II Dos Requisitos Para a Celebração dos Termos de Colaboração ou de Fomento

Art. 9º Para celebrar as parcerias, as Organizações da Sociedade Civil deverão ser regidas por normas de organização interna que prevejam, expressamente:

I - objetivos voltados à promoção de atividades e finalidades de relevância pública e social;

II - que, em caso de dissolução da entidade, o respectivo patrimônio líquido seja transferido a outra pessoa jurídica de igual natureza que preencha os requisitos desta Lei e cujo objeto social seja, preferencialmente, o mesmo da entidade extinta;

III - escrituração de acordo com os princípios fundamentais de contabilidade e com as Normas Brasileiras de Contabilidade;

IV - possuir:

a) no mínimo, dois anos de existência, com cadastro ativo, comprovados por meio de documentação emitida pela Secretaria da Receita Federal do Brasil, com base no Cadastro Nacional da Pessoa Jurídica - CNPJ, admitida a redução desse prazo nos termos da regulamentação;

b) comprovada experiência prévia na realização do objeto da parceria ou de natureza semelhante, nos termos da regulamentação;

c) instalações, condições operacionais e capacidade técnica para o desenvolvimento das atividades previstas e o cumprimento das metas estabelecidas na parceria, nos termos da regulamentação.

Parágrafo único. Para fins de atendimento do previsto na alínea "c" do inciso IV, não será necessária a demonstração de capacidade instalada prévia.

Art. 10. Para celebração das parcerias previstas nesta Lei, as organizações da sociedade civil deverão apresentar:

I - certidões de regularidade fiscal, previdenciária, tributária, de contribuições e de dívida ativa, de acordo com a legislação aplicável no Estado de Mato Grosso;

II - certidão de existência jurídica expedida pelo cartório de registro civil ou cópia do estatuto registrado e de eventuais alterações;

III - cópia da ata de eleição do quadro dirigente atual;

IV - relação nominal atualizada dos dirigentes da entidade, com endereço, número e órgão expedidor da carteira de identidade e número de registro no Cadastro de Pessoas Físicas - CPF da Secretaria da Receita Federal do Brasil - RFB de cada um deles;

V - comprovação de que a Organização da Sociedade Civil funciona no endereço por ela declarado.

Art. 11. A celebração e a formalização do termo de colaboração ou termo de fomento dependerão também da adoção das seguintes providências pela Administração Pública:

I - realização de chamamento público, ressalvadas as hipóteses de inexigibilidade e dispensa previstas na Lei Federal nº 13.019, de 31 de julho de 2014;

II - indicação expressa da existência de prévia dotação orçamentária para execução da parceria;

III - demonstração de que os objetivos e as finalidades institucionais e a capacidade técnica e operacional da Organização da Sociedade Civil foram avaliados e são compatíveis com o objeto;

IV - aprovação do plano de trabalho, a ser apresentado nos termos desta Lei e de sua regulamentação;

V - emissão de parecer de órgão técnico da Administração Pública, que deverá pronunciar-se, de forma expressa, a respeito:

a) do mérito da proposta, em conformidade com a modalidade de parceria adotada;

b) da identidade e da reciprocidade de interesse das partes na realização, em mútua cooperação, da parceria prevista nesta Lei;

c) da viabilidade de sua execução;

d) da verificação do cronograma de desembolso, nos termos do plano de trabalho apresentado;

e) da descrição de quais serão os meios disponíveis a serem utilizados para a fiscalização da execução da parceria, assim como dos procedimentos que deverão ser adotados para avaliação da execução física e financeira, no cumprimento das metas e objetivos;

f) da designação do gestor da parceria;

g) da designação da comissão de monitoramento e avaliação da parceria;

VI - emissão de parecer jurídico do órgão de assessoria ou consultoria jurídica da Administração Pública acerca da possibilidade de celebração da parceria.

§ 1º Não será exigida contrapartida financeira como requisito para celebração de parceria, facultada a exigência de contrapartida em bens e serviços cuja expressão monetária será obrigatoriamente identificada no termo de colaboração ou termo de fomento.

§ 2º Caso o parecer técnico ou jurídico de que tratam respectivamente os incisos V e VI concluam pela possibilidade de celebração da parceria com ressalvas, deverá o administrador público sanar os aspectos ressalvados ou, mediante ato formal, justificar a preservação desses aspectos ou sua exclusão.

§ 3º Na hipótese de o gestor da parceria deixar de ser agente público ou ser lotado em outro órgão ou entidade, o administrador público deverá designar novo gestor, assumindo, enquanto isso não ocorrer, todas as obrigações do gestor com as respectivas responsabilidades.

§ 4º Caso a Organização da Sociedade Civil adquira equipamentos e materiais permanentes com recursos provenientes da celebração da parceria, o bem será gravado com cláusula de inalienabilidade, e ela deverá formalizar promessa de transferência da propriedade à Administração Pública, na hipótese de extinção da Parceria.

§ 5º Será impedida de participar como gestor da parceria ou como membro da comissão de monitoramento e avaliação pessoa que, nos últimos 5 (cinco) anos, tenha mantido relação jurídica com, ao menos, 1 (uma) das organizações da sociedade civil partícipes.

§ 6º Configurado o impedimento do § 5º, deverá ser designado gestor ou membro substituto que possua qualificação técnica equivalente à do substituído.

Art. 12. É permitida a atuação em rede, por duas ou mais Organizações da Sociedade Civil, mantida a integral responsabilidade da organização celebrante do termo de fomento ou de colaboração, desde que a Organização da Sociedade Civil signatária do termo de fomento ou de colaboração possua:

I - mais de cinco anos de inscrição no CNPJ;

II - capacidade técnica e operacional para supervisionar e orientar diretamente a atuação da organização que com ela estiver atuando em rede.

Parágrafo único. A Organização da Sociedade Civil que assinar o termo de colaboração ou termo de fomento deverá celebrar termo de atuação em rede para repasse de recursos às não celebrantes, ficando obrigada a, no ato da respectiva formalização:

I - verificar, nos termos do regulamento, a regularidade jurídica e fiscal da organização executante e não celebrante do termo de colaboração ou do termo de fomento, devendo comprovar tal verificação na prestação de contas;

II - comunicar à Administração Pública em até sessenta dias a assinatura do termo de atuação em rede.

Art. 13. Será obrigatória a estipulação do destino a ser dado aos bens remanescentes da parceria.

§ 1º Os bens remanescentes adquiridos com recursos transferidos poderão, a critério do administrador público, ser doados quando, após a consecução do objeto, não forem necessários para assegurar a continuidade do objeto pactuado, observado o disposto no respectivo termo de colaboração e de fomento, na regulamentação e na legislação vigente.

§ 2º O termo de fomento e o termo de colaboração somente produzirão efeitos jurídicos após a publicação dos respectivos extratos no meio oficial de publicidade da Administração Pública estadual.

Seção III Do Objeto das Parcerias

Art. 14. Poderão ser objeto das parcerias celebradas entre a Administração Pública e as Organizações da Sociedade Civil a operação, e/ou a manutenção, e/ou a conservação, e/ou a elaboração de projetos, e/ou realização de obras e/ou investimentos relacionados aos sistemas rodoviário, aeroportuário e aquaviário de competência do Estado de Mato Grosso e/ou a ele delegados.

Art. 15. Compete à Administração Pública definir quanto a necessidade da execução de obras e/ou realização de investimentos e/ou da elaboração de projetos nos sistemas rodoviário, aeroportuário e aquaviário, adotando-se uma das seguintes modalidades:

I - a Administração Pública realizará, per si ou por terceiros, as obras e/ou os projetos necessários ao sistema;

II - a Administração Pública transferirá os recursos financeiros para que as Organizações da Sociedade Civil realizem, per si ou por terceiros, as obras e/ou os investimentos e/ou os projetos necessários ao sistema.

§ 1º A Secretaria de Estado de Infraestrutura e Logística - SINFRA será o órgão responsável pela transferência dos recursos financeiros às Organizações da Sociedade Civil, nos termos do inciso II desta Lei.

§ 2º Para estarem aptas a realizar as obras e/ou os investimentos e/ou os projetos necessários ao sistema por terceiros, as Organizações da Sociedade Civil devem ter regulamento próprio, aprovado pela SINFRA, contendo os procedimentos que devem ser adotados para a contratação de obras, serviços, compras e alienações, resguardando os princípios da Administração Pública previstos no art. 37 da Constituição Federal.

§ 3º A Organização da Sociedade Civil beneficiária de recursos públicos deverá executar diretamente o objeto, permitindo-se a contratação de serviços de terceiros quando houver previsão no plano de trabalho em razão da especificidade dos serviços, limitado a 40% (quarenta por cento) do valor do objeto pactuado. (Parágrafo acrescentado pela Lei Nº 10981 DE 31/10/2019).

Art. 16. As composições de custos relacionadas aos orçamentos decorrentes da realização do objeto do termo de colaboração e de fomento deverão ser elaboradas considerando, além das composições de custos referenciais utilizadas pela Secretaria de Estado de Infraestrutura e Logística - SINFRA nas suas contratações, os seguintes aspectos:

I - as composições do percentual dos encargos sociais da mão de obra e da taxa de bonificação e despesas indiretas (BDI) devem considerar os encargos trabalhistas, previdenciários, fiscais e comerciais pertinentes à Organização da Sociedade Civil, desconsiderando a parcela de lucro operacional na composição do BDI quando a execução do objeto da Parceria for realizada diretamente pela Organização da Sociedade Civil;

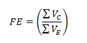
II - o valor global dos itens e/ou serviços, calculado para fins de aplicação do inciso II do art. 15, deve ser multiplicado pelo Fator de Economia (FE), a ser apurado e divulgado pela SINFRA no edital de chamamento público, nos termos desta Lei e de sua regulamentação:

a) o FE consiste na média ponderada dos descontos obtidos nas últimas licitações de obras e serviços, homologadas pela SINFRA, assim apurado:

onde: FE = Fator de Economia;

VC = Somatório dos valores globais das propostas vencedoras e homologadas no período considerado;

VE = Somatório dos valores globais dos orçamentos referenciais dos editais considerados para no somatório do VC;

b) os editais considerados para o cálculo do FE deverão, preferencialmente, contemplar as obras e/ou serviços compatíveis com o objeto da parceria;

c) o período de apuração para o cálculo do FE não poderá ser inferior a 12 (doze) meses;

d) a aplicação da fórmula acima na transferência de recursos pela Administração Pública não se confunde e não se compensa com eventual contrapartida da OSC instituída na celebração da parceria.

Seção IV Das Especificidades do Sistema Rodoviário

Art. 17. Comprovada a inviabilidade de concessão nos termos da Lei Federal nº 8.987, de 13 de fevereiro de 1995, ou da Lei Federal nº 11.079, de 30 de dezembro de 2004, nas rodovias estaduais e/ou delegadas ao Estado de Mato Grosso, fica autorizada a transferência às Organizações da Sociedade Civil para a operação, manutenção, conservação, realização de obras e/ou investimentos, mediante cobrança de tarifa de pedágio, nos termos desta Lei, de sua regulamentação e da Lei nº 8.620, de 28 de dezembro de 2006.

§ 1º Os critérios objetivos de seleção dos trechos de rodovias estaduais e/ou delegadas a serem transferidos para as Organizações da Sociedade Civil serão definidos por meio de Decreto, nos termos do caput deste artigo.

§ 2º O pedágio não terá a finalidade de gerar lucros às Organizações da Sociedade Civil e todo produto da sua arrecadação será aplicado somente nas rodovias estaduais e/ou delegadas ao Estado de Mato Grosso e transferida(s) às Organizações da Sociedade Civil para a execução do plano de trabalho correspondente ao termo de colaboração ou do termo de fomento celebrado.

§ 3º O fato gerador do pedágio é a utilização da via estadual e/ou delegada ao Estado de Mato Grosso conservada e colocada à disposição pelo Poder Público, na forma da Lei nº 8.620, de 28 de dezembro de 2006.

§ 4º O valor do pedágio será calculado nos termos da Lei nº 8.620, de 28 de dezembro de 2006.

Seção V Das Especificidades do Sistema Aquaviário

Art. 18. Comprovada a inviabilidade de concessão nos termos da Lei Federal nº 8.987, de 13 de fevereiro de 1995, ou da Lei Federal nº 11.079, de 30 de dezembro de 2004, para a operação do sistema de transporte por balsa, a indisponibilidade econômico-financeira do Poder Público para a construção de pontes ou outras obras para a travessia, fica autorizada a transferência do sistema às Organizações da Sociedade Civil, mediante cobrança de tarifa dos usuários pela utilização dos serviços.

Art. 19. O cálculo da tarifa a ser cobrada pelo transporte por balsa será realizado através de modelagem econômico-financeira, técnica e jurídica desenvolvida para cada parceria a ser celebrada através de termo de colaboração ou de fomento.

Seção VI Das Especificidades do Sistema Aeroportuário

Art. 20. Comprovada a inviabilidade de realização de concessão por meio da Lei Federal nº 8.987, de 13 de fevereiro de 1995, ou da Lei Federal nº 11.079, de 30 de dezembro de 2004, a exploração do sistema Aeroportuário e suas instalações delegadas ao Estado de Mato Grosso, fica autorizada a transferência às Organizações da Sociedade Civil, observada a legislação setorial específica, mediante cobrança de tarifa dos usuários pela utilização dos serviços.

Seção VII Do Prazo de Vigência dos Termos de Colaboração e de Fomento

Art. 21. O prazo de vigência nas parcerias será de acordo com prazo estipulado no plano de trabalho, em conformidade com a Lei Federal nº 13.019, de 31 de julho de 2014 e decreto regulamentador.

§ 1º Caberá à Organização da Sociedade Civil formalizar pedido de prorrogação de vigência do prazo até 06 (seis) meses anteriores ao término de vigência da parceria.

§ 2º Caberá a Administração Pública decidir sobre a prorrogação de prazo da parceria, nos termos desta Lei.

Seção VIII Das Despesas

Art. 22. As despesas relacionadas à execução da parceria serão executadas nos termos dos arts. 45 e 46 da Lei Federal nº 13.019, de 31 de julho de 2014.

Art. 22-A. Toda documentação pertinente à etapa de licenciamento ambiental necessária para viabilizar a formalização das parcerias de que trata esta Lei, cuja competência seja do Estado de Mato Grosso, poderá ser requerida diretamente pela Organização da Sociedade Civil aos órgãos gestores da política ambiental, e sua expedição será isenta de quaisquer cobranças de taxas, conforme previsto na Lei nº 10.242 , de 30 de dezembro de 2014. (Artigo acrescentado pela Lei Nº 10936 DE 06/09/2019).

Seção IX Da Movimentação e Aplicação Financeira dos Recursos

Art. 23. Os recursos recebidos em decorrência das parcerias serão depositados em conta corrente específica, isenta de tarifa bancária, na instituição financeira pública determinada pela Administração Pública e administrada pela Organização da Sociedade Civil.

Parágrafo único. Os rendimentos de ativos financeiros serão aplicados no objeto da parceria, estando sujeitos às mesmas condições de prestação de contas exigidas para os recursos transferidos.

Art. 24. Por ocasião da conclusão, denúncia, rescisão ou extinção da parceria, os saldos financeiros remanescentes, inclusive os provenientes das receitas obtidas das aplicações financeiras realizadas, serão devolvidos à Administração Pública no prazo improrrogável de trinta dias, sob pena de imediata instauração de tomada de contas especial do responsável, providenciada pela autoridade competente da Administração Pública.

Art. 25. Toda a movimentação de recursos no âmbito da parceria será realizada mediante transferência eletrônica sujeita à identificação do beneficiário final e à obrigatoriedade de depósito em sua conta bancária.

Parágrafo único. Todos os pagamentos deverão ser realizados mediante crédito na conta bancária de titularidade dos fornecedores e prestadores de serviços, ressalvados os casos de impossibilidade comprovada, que excepcionalmente serão realizados através de cheques nominais.

Seção X Do Monitoramento e Avaliação

(Redação do artigo dada pela Lei Nº 11148 DE 26/05/2020):

Art. 26. A Administração Pública promoverá o monitoramento e a avaliação do cumprimento do objeto da parceria, nos termos dos arts. 58, 59 e 60 da Lei Federal nº 13.019, de 31 de julho de 2014.

§ 1º A Secretaria de Estado de Infraestrutura e Logística - SINFRA instituirá Comissão de Monitoramento e Avaliação das Parcerias, conforme regras e normas dispostas em regulamentação, podendo ser auxiliada por verificação independente, valer-se do apoio técnico de terceiros, delegar competência ou firmar parcerias com órgãos ou entidades que se situem próximos ao local de aplicação dos recursos.

§ 2º O monitoramento e a avaliação da parceria executada com recursos de fundo específico poderão ser realizados por comissão de monitoramento e avaliação a ser constituída pelo respectivo conselho gestor, caso a legislação específica do fundo a que se refere disponha e regulamente expressamente tal procedimento.

CAPÍTULO IV DA PRESTAÇÃO DE CONTAS

Art. 27. Compete às Organizações da Sociedade Civil prestar contas de todos os recursos financeiros recebidos decorrentes das parcerias celebradas.

Parágrafo único. A prestação de contas deve ser feita parcialmente a cada 90 (noventa) dias e ao final da parceria, observandose as normas e regras previstas na regulamentação e no instrumento de parceria, sem prejuízo das normas constantes em legislação específica.

Art. 28. A prestação de contas apresentada pela Organização da Sociedade Civil deverá conter elementos que permitam ao gestor da parceria avaliar o andamento ou concluir que o seu objeto está sendo executado conforme pactuado, com a descrição pormenorizada das atividades realizadas e a comprovação do alcance das metas e dos resultados esperados, até o período de que trata a prestação de contas.

§ 1º Serão glosados valores relacionados a metas e resultados descumpridos sem justificativa suficiente.

§ 2º Os dados financeiros serão analisados com o intuito de estabelecer o nexo de causalidade entre a receita e a despesa realizada, a sua conformidade e o cumprimento das normas pertinentes.

§ 3º A análise da prestação de contas deverá considerar a verdade real e os resultados alcançados.

§ 4º A prestação de contas da parceria observará regras específicas de acordo com o montante de recursos públicos envolvidos, nos termos das disposições e procedimentos estabelecidos conforme regulamentação e previstos no plano de trabalho, no termo de colaboração ou de fomento.

§ 5º A prestação de contas e todos os atos que dela decorram dar-se-ão em plataforma eletrônica permitindo a visualização por qualquer interessado.

CAPÍTULO V DAS RESPONSABILIDADES E SANÇÕES

Art. 29. Na parceria executada em desacordo com o plano de trabalho e com as normas desta Lei, regulamentação e da legislação específica, a Administração Pública poderá, garantida a prévia defesa, aplicar à Organização da Sociedade Civil as seguintes sanções:

I - advertência;

II - suspensão temporária da participação em chamamento público e impedimento de celebrar parceria ou contrato com órgãos e entidades da esfera de governo da Administração Pública sancionadora, por prazo não superior a dois anos;

III - declaração de inidoneidade para participar de chamamento público ou celebrar parceria ou contrato com órgãos e entidades de todas as esferas de governo, enquanto perdurarem os motivos determinantes da punição ou até que seja promovida a reabilitação perante a própria autoridade que aplicou a penalidade, que será concedida sempre que a Organização da Sociedade Civil ressarcir à Administração Pública pelos prejuízos resultantes e após decorrido o prazo da sanção aplicada com base no inciso II.

§ 1º As sanções estabelecidas nos incisos II e III são de competência exclusiva do Secretário Estadual referente à Secretaria responsável pela celebração da parceria, facultada a defesa do interessado no respectivo processo, no prazo de 10 (dez) dias da abertura de vista, podendo a reabilitação ser requerida após dois anos de aplicação da penalidade.

§ 2º Prescreve em cinco anos, contados a partir da data da apresentação da prestação de contas, a aplicação de penalidade decorrente de infração relacionada à execução da parceria.

§ 3º A prescrição será interrompida com a edição de ato administrativo voltado à apuração da infração.

CAPÍTULO VI DAS DISPOSIÇÕES FINAIS E TRANSITÓRIAS

Art. 30. Não se aplica às parcerias regidas por esta Lei o disposto na Lei Federal no 8.666, de 21 de junho de 1993, ressalvados os casos expressos na Lei Federal nº 13.019, de 31 de julho de 2014.

Art. 31. Os instrumentos de convênio celebrados anteriormente a esta Lei e não adequados à Lei Federal nº 13.019, de 31 de julho de 2014 deverão atender às disposições estabelecidas nesta Lei no prazo máximo de 90 (noventa) dias contados da sua publicação.

Parágrafo único. Excetuam-se de aplicação do caput deste artigo os instrumentos de convênios celebrados para o transporte por balsa, mediante autorização, anteriormente à publicação desta Lei.

Art. 32. VETADO.

Art. 33. VETADO.

Art. 34. VETADO.

Art. 35. Aplica-se a esta Lei, no que couber, o disposto na Lei nº 8.620, de 28 de dezembro de 2006, e suas alterações.

Art. 36. Esta Lei será regulamentada dentro de 60 (sessenta) dias a contar da data de sua publicação.

Art. 37. Esta Lei entra em vigor na data de sua publicação.

Palácio Paiaguás, em Cuiabá, 25 de março de 2019, 198º da Independência e 131º da República.

MAURO MENDES

Governador do Estado

MENSAGEM Nº 64, DE 25 DE MARÇO DE 2019.

Senhor Presidente da Assembleia Legislativa,

No exercício das competências contidas nos artigos 42, § 1º, e 66, inciso IV, da Constituição do Estado, comunico a Vossa Excelência que decidi vetar parcialmente o Projeto de Lei nº 19/2018, que "Institui o Programa de Parcerias entre a Administração Pública e Organizações da Sociedade Civil para a operação, e/ou manutenção, e/ou conservação, e/ou elaboração de projetos, e/ou realização de obras e/ou investimentos nos sistemas rodoviário, aeroportuário e aquaviário de competência do Estado de Mato Grosso e/ou a ele delegados, e dá outras providências", aprovado por esse Poder Legislativo na Sessão Ordinária do dia 26 de fevereiro de 2019.

Eis os dispositivos a serem vetados:

Art. 32. Fica autorizada a Secretaria de Estado de Infraestrutura e Logística - SINFRA a se associar ao Conselho Nacional de Secretários de Transportes - CONSETRANS e à Associação Brasileira dos Departamentos Estaduais de Estradas de Rodagem - ABDER.

Art. 33. Fica autorizado o pagamento das anuidades do Conselho Nacional de Secretários de Transportes - CONSETRANS e da Associação Brasileira dos Departamentos Estaduais de Estradas de Rodagem - ABDER.

Art. 34. Fica convalidada a associação da Secretaria de Estado de Infraestrutura e Logística - SINFRA ao Conselho Nacional de Secretários de Transportes - CONSETRANS nos anos de 2015 a 2018, autorizando o pagamento das respectivas anuidades.

Instada a se manifestar, a Procuradoria-Geral do Estado opinou pelo veto parcial ao projeto de lei, restrito aos supracitados artigos, pelos seguintes motivos:

"(.....) constata-se que os artigos 32, 33 e 34 da proposição em comento padecem dos seguintes vícios de inconstitucionalidade:

• Invasão da competência do Poder Executivo para deflagrar processo legislativo que verse sobre a organização e funcionamento da Administração Pública: Ofensa aos artigos 39, parágrafo único, II, "d" e 66, V, da CE;

• Violação do princípio da separação dos poderes: Art. 2º da CF;

• Criação de despesa em projeto de lei originário do Poder Executivo: ofensa ao art. 40, I, da Constituição Estadual;

• Criação de despesa sem prévia avaliação de impacto orçamentário: violação ao art. 16 da Lei de Responsabilidade Fiscal Federal e art. 15 da Lei de Responsabilidade Fiscal Estadual, que visam preservar a higidez financeira do Estado."

Essas, Senhor Presidente, são as razões que me levaram a vetar parcialmente o Projeto de Lei nº 19/2018, as quais ora submeto à apreciação dos membros dessa Casa de Leis.

Palácio Paiaguás, em Cuiabá, 25 de março de 2019.

MAURO MENDES

Governador do Estado