Portal da Reforma Tributária

Tudo sobre a Reforma
Tributária em um só lugar

Entenda as alterações e os impactos da nova legislação tributária para a sua empresa.

Resolução CFC Nº 1297 DE 17/09/2010

Nota Legisweb: Ver Resolução CFC Nº 1329 DE 18/03/2011, que altera a SIGLA/NUMERAÇÃO da Norma Brasileira de Contabilidade, disposta nesta norma, de NBC T 17 para  NBC TG 05.

O CONSELHO FEDERAL DE CONTABILIDADE, no exercício de suas atribuições legais e regimentais, e com fundamento no disposto na alínea "f" do art. 6° do Lei n.° 12.249/10, alterado pela Lei n.° 12.249/10,

Resolve:

Objetivo

1. O objetivo desta Norma é assegurar que as demonstrações contábeis da entidade contenham as divulgações necessárias para chamar a atenção dos usuários para a possibilidade de o balanço patrimonial e a demonstração do resultado da entidade estarem afetados pela existência de partes relacionadas e por transações e saldos, incluindo compromissos, com referidas partes relacionadas.

Alcance

2. Esta Norma deve ser aplicada:

(a) na identificação de relacionamentos e transações com partes relacionadas;

(b) na identificação de saldos existentes, incluindo compromissos, entre a entidade que reporta a informação e suas partes relacionadas;

(c) na identificação de circunstâncias sob as quais a divulgação dos itens (a) e (b) é exigida; e

(d) na determinação das divulgações a serem feitas acerca desses itens.

3. Esta Norma requer a divulgação de relacionamentos com partes relacionadas, de transações e saldos existentes com partes relacionadas, incluindo compromissos, nas demonstrações contábeis consolidadas e separadas de controladora ou investidores com controle conjunto da investida ou com influência significativa sobre ela, apresentadas de acordo com a NBC TG 35 - Demonstrações Separadas e a NBC TG 36 - Demonstrações Consolidadas. Esta Norma também deve ser aplicada às demonstrações contábeis individuais. (Redação dada pela NBC TG n° 005 (R1)/2013).

Nota LegisWeb: Redação Anterior:
3. Esta Norma requer a divulgação de relacionamentos com partes relacionadas, de transações e saldos existentes com partes relacionadas, incluindo compromissos, nas demonstrações contábeis consolidadas e separadas de controladora, seja o controle exercido de modo pleno ou compartilhado (para o caso de joint ventures), ou investidora, de acordo com a NBC T 19.35 - Demonstrações Separadas e a NBC T 19.36 - Demonstrações Consolidadas. Esta Norma também deve ser aplicada às demonstrações contábeis individuais.

4. As transações com partes relacionadas e saldos existentes com outras entidades de grupo econômico devem ser divulgados nas demonstrações contábeis da entidade. As transações e os saldos intercompanhias existentes com partes relacionadas são eliminados, exceto em relação àqueles entre entidade de investimento e suas controladas mensuradas ao valor justo por meio do resultado, na elaboração das demonstrações contábeis consolidadas do grupo econômico. (Redação dada pela NBC TG n° 005 (R1)/2013).

Nota LegisWeb: Redação Anterior:

4. As transações com partes relacionadas e os saldos existentes com outras entidades de grupo econômico devem ser divulgados nas demonstrações contábeis da entidade. As transações e os saldos intercompanhias existentes com partes relacionadas são eliminados na elaboração das demonstrações contábeis consolidadas do grupo econômico.

Propósito da divulgação sobre partes relacionadas

5. Os relacionamentos com partes relacionadas são uma característica normal do comércio e dos negócios. Por exemplo, as entidades realizam frequentemente parte das suas atividades por meio de controladas, empreendimentos controlados em conjunto (joint ventures) e coligadas. Nessas circunstâncias, a entidade tem a capacidade de afetar as políticas financeiras e operacionais da investida por meio de controle pleno, controle compartilhado ou influência significativa.

6. O relacionamento com partes relacionadas pode ter efeito na demonstração do resultado e no balanço patrimonial da entidade.

As partes relacionadas podem levar a efeito transações que partes não relacionadas não realizariam. Por exemplo, a entidade que venda bens à sua controladora pelo custo pode não vender nessas condições a outro cliente. Além disso, as transações entre partes relacionadas podem não ser feitas pelos mesmos montantes que seriam entre partes não relacionadas.

7. A demonstração do resultado e o balanço patrimonial da entidade podem ser afetados por um relacionamento com partes relacionadas mesmo que não ocorram transações com essas partes relacionadas.

A mera existência do relacionamento pode ser suficiente para afetar as transações da entidade com outras partes. Por exemplo, uma controlada pode cessar relações com um parceiro comercial quando da aquisição pela controladora de outra controlada dedicada à mesma atividade do parceiro comercial anterior. Alternativamente, uma parte pode abster-se de agir por causa da influência significativa de outra. Por exemplo, uma controlada pode ser orientada pela sua controladora a não se envolver em atividades de pesquisa e desenvolvimento.

8. Por essas razões, o conhecimento das transações, dos saldos existentes, incluindo compromissos, e dos relacionamentos da entidade com partes relacionadas pode afetar as avaliações de suas operações por parte dos usuários das demonstrações contábeis, inclusive as avaliações dos riscos e das oportunidades com os quais a entidade se depara.

Definições

9. Os seguintes termos são usados nesta Norma com os significados abaixo especificados:

Parte relacionada é a pessoa ou a entidade que está relacionada com a entidade que está elaborando suas demonstrações contábeis (nesta Norma, tratada como "entidade que reporta a informação").

(a)Uma pessoa, ou um membro próximo de sua família, está relacionada com a entidade que reporta a informação se:

(i) tiver o controle pleno ou compartilhado da entidade que reporta a informação

(ii) tiver influência significativa sobre a entidade que reporta a informação; ou

(iii) for membro do pessoal chave da administração da entidade que reporta a informação ou da controladora da entidade que reporta a informação.

(b) Uma entidade está relacionada com a entidade que reporta a informação se qualquer das condições abaixo for observada:

(i) a entidade e a entidade que reporta a informação aos membros do mesmo grupo econômico (o que significa dizer que a controladora e cada controlada são inter-relacionadas, bem como as entidades sob controle comum são relacionadas entre si);

(ii) a entidade é coligada ou controlada em conjunto (joint venture) de outra entidade (ou coligada ou controlada em conjunto de entidade membro de grupo econômico do qual a outra entidade é membro);

(iii) ambas as entidades estão sob o controle conjunto (joint ventures) de uma terceira entidade;

(iv) uma entidade está sob o controle conjunto (joint venture) de uma terceira entidade e a outra entidade for coligada dessa terceira entidade;

(v) a entidade é um plano de benefício pós-emprego cujos beneficiários são os empregados de ambas as entidades, a que reporta a informação e a que está relacionada com a que reporta a informação.

(viii) a entidade, ou qualquer membro de grupo do qual ela faz parte, fornece serviços de pessoal-chave da administração da entidade que reporta ou à controladora da entidade que reporta. (Acrescentado pela NBC TG n° 005 (R3)/2014).

Se a entidade que reporta a informação for ela própria um plano de benefício pós-emprego, os empregados que contribuem com a mesma serão também considerados partes relacionadas com a entidade que reporta a informação;

(vi) a entidade é controlada, de modo pleno ou sob controle conjunto, por uma pessoa identificada na letra (a);

(vii) uma pessoa identificada na letra (a)(i) tem influência significativa sobre a entidade, ou for membro do pessoal chave da administração da entidade (ou de controladora da entidade).

Transação com parte relacionada é a transferência de recursos, serviços ou obrigações entre uma entidade que reporta a informação e uma parte relacionada, independentemente de ser cobrado um preço em contrapartida.

Membros próximos da família de uma pessoa são aqueles membros da família dos quais se pode esperar que exerçam influência ou sejam influenciados pela pessoa nos negócios desses membros com a entidade e incluem:

(a) os filhos da pessoa, cônjuge ou companheiro(a);

(b) os filhos do cônjuge da pessoa ou de companheiro(a); e

(c) dependentes da pessoa, de seu cônjuge ou companheiro(a).

Remuneração inclui todos os benefícios a empregados e administradores (conforme definido na NBC TG 33 - Benefícios a Empregados), inclusive os benefícios dentro do alcance da NBC TG 10 - Pagamento Baseado em Ações. Os benefícios a empregados são todas as formas de contrapartida paga, a pagar, ou proporcionada pela entidade, ou em nome dela, em troca de serviços que lhes são prestados. Também inclui a contrapartida paga em nome da controladora da entidade em relação à entidade. A remuneração inclui:

(a) benefícios de curto prazo a empregados e administradores,tais como ordenados, salários e contribuições para a seguridade social,licença remunerada e auxílio-doença pago, participação nos lucros e bônus (se pagáveis dentro do período de doze meses após o encerramento do exercício social) e benefícios não-monetários (tais como assistência médica, habitação, automóveis e bens ou serviços gratuitos ou subsidiados) para os atuais empregados e administradores;

(b)benefícios pós-emprego, tais como pensões, outros benefícios de aposentadoria, seguro de vida pós-emprego e assistência médica pós-emprego;

(c) outros benefícios de longo prazo, incluindo licença por anos de serviço ou licenças sabáticas, jubileu ou outros benefícios por anos de serviço, benefícios de invalidez de longo prazo e, se não forem pagáveis na totalidade no período de doze meses após o encerramento do exercício social, participação nos lucros, bônus e remunerações diferidas;

(d) benefícios de rescisão de contrato de trabalho; e

(e) remuneração baseada em ações.

(Excluído pela NBC TG n° 005 (R1)/2013):

Controle é o poder de direcionar as políticas financeiras e operacionais de uma entidade de forma a obter benefícios das suas atividades.

(Excluído pela NBC TG n° 005 (R1)/2013):

Controle conjunto é a partilha do controle sobre uma atividade econômica acordada contratualmente.

Pessoal chave da administração são as pessoas que têm autoridade e responsabilidade pelo planejamento, direção e controle das atividades da entidade, direta ou indiretamente, incluindo qualquer administrador (executivo ou outro) dessa entidade.

Influência significativa Excluído pela NBC TG n° 005 (R1)/2013 (DOU de 20.12.2013) efeitos a partir de 01.01.2013 Redação Anterior

Estado refere-se ao governo no seu sentido lato, agências de governo e organizações similares, sejam elas municipais, estaduais, federais, nacionais ou internacionais.

Entidade relacionada com o Estado é a entidade que é controlada, de modo pleno ou em conjunto, ou sofre influência significativa do Estado.

Os termos "controle", "entidade de investimento", "controle conjunto" e "influência significativa" são definidos na NBC TG 36, na NBC TG 19 e na NBC TG 18, respectivamente, e são utilizados nesta Norma com os significados especificados naquelas normas. Alterado pela NBC TG n° 005 (R2)/2014 (DOU de 17.04.2014) efeitos a partir de 01.01.2014 Redação Anterior

10. Ao considerar cada um dos possíveis relacionamentos com partes relacionadas, a atenção deve ser direcionada para a essência mdo relacionamento e não meramente para sua forma legal.

11. No contexto desta Norma, não são partes relacionadas:

(a) duas entidades simplesmente por terem administrador ou outro membro do pessoal chave da administração em comum, ou porque um membro do pessoal chave da administração da entidade exerce influência significativa sobre a outra entidade;

(b) dois empreendedores em conjunto simplesmente por compartilharem o controle conjunto sobre um empreendimento controlado em conjunto (joint venture); (Redação dada pela NBC TG n° 005 (R1)/2013).

Nota LegisWeb: Redação Anterior:
(b) dois investidores simplesmente por compartilharem o controle conjunto sobre um empreendimento controlado em conjunto (joint venture);

(c)

(i) entidades que proporcionam financiamentos;

(ii) sindicatos;

(iii) entidades prestadoras de serviços públicos; e

(iv) departamentos e agências de Estado que não controlam, de modo pleno ou em conjunto, ou exercem influência significativa sobre a entidade que reporta a informação, simplesmente em virtude dos seus negócios normais com a entidade (mesmo que possam afetar a liberdade de ação da entidade ou participar no seu processo de tomada de decisões);

(d) cliente, fornecedor, franqueador, concessionário, distribuidor ou agente geral com quem a entidade mantém volume significativo de negócios, meramente em razão da resultante dependência econômica.

12. Na definição de parte relacionada, uma coligada inclui controladas dessa coligada e uma entidade sob controle conjunto (joint venture) inclui controladas de entidade sob controle compartilhado (joint venture). Portanto, por exemplo, a controlada de uma coligada e o investidor que exerce influência significativa sobre a coligada são partes relacionadas um com o outro.

Divulgação

Todas as entidades

13. Os relacionamentos entre controladora e suas controladas devem ser divulgados independentemente de ter havido ou não transações entre essas partes relacionadas. A entidade deve divulgar o nome da sua controladora direta e, se for diferente, da controladora final. Se nem a controladora direta tampouco a controladora final elaborarem demonstrações contábeis consolidadas disponíveis para o público, o nome da controladora do nível seguinte da estrutura societária que proceder à elaboração de ditas demonstrações também deve ser divulgado.

14. Para possibilitar que os usuários de demonstrações contábeis formem uma visão acerca dos efeitos dos relacionamentos entre partes relacionadas na entidade, é apropriado divulgar o relacionamento entre partes relacionadas quando existir controle, tendo havido ou não transações entre as partes relacionadas.

15. A obrigatoriedade de divulgação de relacionamentos de partes relacionadas entre controladoras e suas controladas é uma exigência adicional ao já requerido na NBC TG 35 - Demonstrações Separadas e NBC TG 45 - Divulgação de Participações em Outras Entidades. (Redação dada pela NBC TG n° 005 (R1)/2013).

Nota LegisWeb: Redação Anterior:

15. A obrigatoriedade de divulgação de relacionamentos de partes relacionadas entre controladoras e suas controladas é uma exigência adicional ao já requerido na NBC T 19.37 - Investimento em Coligada e em Controlada, na NBC T 19.38 - Investimento em Empreendimento Controlado em Conjunto (Joint Venture), na NBC T 19.35 - Demonstrações Separadas e na NBC T 19.36 - Demonstrações Consolidadas.

16. O item 13 desta Norma refere-se à controladora do nível seguinte da estrutura societária. A controladora do nível seguinte da estrutura societária é a primeira controladora do grupo, acima da controladora direta imediata, que produza demonstrações contábeis consolidadas disponíveis para o público.

17. A entidade deve divulgar a remuneração do pessoal chave da administração no total e para cada uma das seguintes categorias:

(a) benefícios de curto prazo a empregados e administradores;

(b) benefícios pós-emprego;

(c) outros benefícios de longo prazo;

(d) benefícios de rescisão de contrato de trabalho; e

(e) remuneração baseada em ações.

17A. Se a entidade obtém serviços de pessoal-chave da administração de outra entidade (entidade administradora), a entidade não é obrigada a aplicar os requisitos do item 17 na remuneração paga ou a pagar pela entidade administradora aos empregados ou diretores da entidade administradora. (Acrescentado pela NBC TG n° 005 (R3)/2014).

18A. Valores incorridos pela entidade para a prestação de serviços de pessoal-chave da administração, que são fornecidos por entidade administradora separada, devem ser divulgados. (Acrescentado pela NBC TG n° 005 (R3)/2014).

18. Se a entidade tiver realizado transações entre partes relacionadas durante os períodos cobertos pelas demonstrações contábeis, a entidade deve divulgar a natureza do relacionamento entre as partes relacionadas, assim como as informações sobre as transações e saldos existentes, incluindo compromissos, necessárias para a compreensão dos usuários do potencial efeito desse relacionamento nas demonstrações contábeis. Esses requisitos de divulgação são adicionais aos referidos no item 17. No mínimo, as divulgações devem incluir:

(a) montante das transações;

(b) montante dos saldos existentes, incluindo compromissos, e:

(i) seus prazos e condições, incluindo eventuais garantias, e a natureza da contrapartida a ser utilizada na liquidação; e

(ii) detalhes de quaisquer garantias dadas ou recebidas;

(c)provisão para créditos de liquidação duvidosa relacionada com o montante dos saldos existentes; e

(d)despesa reconhecida durante o período relacionada a dívidas incobráveis ou de liquidação duvidosa de partes relacionadas.

19. As divulgações requeridas no item 18 devem ser feitas separadamente para cada uma das seguintes categorias:

(a) controladora;

(b) entidades com controle conjunto da entidade ou influência significativa sobre a entidade que reporta a informação; (Redação da alínea dada pela NBC TG n° 005 (R1)/2013).

Nota LegisWeb: Redação Anterior:
(b) entidades com controle conjunto ou influência significativa sobre a entidade que reporta a informação;

(c) controladas;

(d) coligadas;

(e) empreendimentos controlados em conjunto (joint ventures) em que a entidade seja investidor conjunto; (Redação da alínea dada pela NBC TG n° 005 (R1)/2013).

Nota LegisWeb: Redação Anterior:
(e) empreendimentos controlados em conjunto (joint ventures) nos quais a entidade invista;

(f) pessoal chave da administração da entidade ou de sua controladora; e

(g) outras partes relacionadas.

20. A classificação de montantes a pagar e a receber de partes relacionadas em diferentes categorias conforme requerido no item 19 é uma extensão dos requerimentos de divulgação da NBC TG 26 - Apresentação das Demonstrações Contábeis, para informações a serem prestadas no balanço patrimonial ou nas notas explicativas que o acompanham. As categorias de partes relacionadas são ampliadas para proporcionar uma análise mais abrangente dos saldos entre partes relacionadas, aplicando-a a transações com essas partes.

21. Seguem exemplos de transações que devem ser divulgadas, se feitas com parte relacionada:

(a) compras ou vendas de bens (acabados ou não acabados);

(b) compras ou vendas de propriedades e outros ativos;

(c) prestação ou recebimento de serviços;

(d) arrendamentos;

(e) transferências de pesquisa e desenvolvimento;

(f) transferências mediante acordos de licença;

(g) transferências de natureza financeira (incluindo empréstimos e contribuições para capital em dinheiro ou equivalente);

(h) fornecimento de garantias, avais ou fianças;

(i) assunção de compromissos para fazer alguma coisa para o caso de um evento particular ocorrer ou não no futuro, incluindo contratos a executar (reconhecidos ou não); e

(j) liquidação de passivos em nome da entidade ou pela entidade em nome de parte relacionada.

22. A participação de controladora ou controlada em plano de benefícios definidos que compartilha riscos entre entidades de grupo econômico é considerada uma transação entre partes relacionadas (ver item 34B da NBC TG 33).

22A. Para quaisquer transações entre partes relacionadas, faz-se necessária a divulgação das condições em que as mesmas transações foram efetuadas. Transações atípicas com partes relacionadas após o encerramento do exercício ou período também devem ser divulgadas.

23. As divulgações de que as transações com partes relacionadas foram realizadas em termos equivalentes aos que prevalecem nas transações com partes independentes são feitas apenas se esses termos puderem ser efetivamente comprovados.

24. Os itens de natureza similar podem ser divulgados de forma agregada, exceto quando a divulgação em separado for necessária para a compreensão dos efeitos das transações com partes relacionadas nas demonstrações contábeis da entidade.

Entidades relacionadas com o Estado

25. A entidade que reporta a informação está isenta das exigências de divulgação do item 18 no tocante a transações e saldos mantidos com partes relacionadas, incluindo compromissos, quando a parte for:

(a)um ente estatal que tenha controle, controle conjunto ou que exerça influência significativa sobre a entidade que reporta a informação; e (Redação dada pela NBC TG n° 005).

Nota LegisWeb: Redação Anterior:
(a) um ente estatal que exerça o controle, de modo pleno ou compartilhado, ou que exerça influência significativa sobre a entidade que reporta a informação; e

(b)outra entidade que seja parte relacionada, pelo fato de o mesmo ente estatal deter o controle ou o controle conjunto, ou exercer influência significativa, sobre ambas as partes (a entidade que reporta a informação e a outra entidade). (Redação dada pela NBC TG n° 005).

Nota LegisWeb: Redação Anterior:

 (b) outra entidade que seja parte relacionada, pelo fato de o mesmo ente estatal deter o controle, de modo pleno ou em conjunto, ou exercer influência significativa, sobre ambas as partes (a entidade que reporta a informação e a outra entidade).

26. Se a entidade que reporta a informação aplicar a isenção do item 25, ela deve divulgar o que segue acerca de saldos mantidos e transações aos quais se refere o item 25:

(a) o nome do ente estatal e a natureza de seu relacionamento com a entidade que reporta a informação (por exemplo, controle,= pleno ou compartilhado, ou influência significativa);

(b) a informação que segue, em detalhe suficiente, para possibilitar a compreensão dos usuários das demonstrações contábeis da entidade dos efeitos das transações com partes relacionadas nas suas demonstrações contábeis:

(i) natureza e montante de cada transação individualmente significativa; e

(ii) para outras transações que no conjunto são significativas, mas individualmente não o são, uma indicação qualitativa e quantitativa de sua extensão. Tipos de transações incluem aquelas enumeradas no item 21.

27. Ao recorrer ao julgamento para determinar o nível de detalhe a ser divulgado de acordo com as exigências do item 26(b), a administração da entidade que reporta a informação deve considerar o quão próximo é o relacionamento com a parte relacionada, e outros fatores relevantes para o estabelecimento do nível de significância da transação, ao avaliar se a transação é:

(a) significativa em termos de magnitude;

(b) realizada fora das condições de mercado;

(c) foge das operações normais do dia-a-dia dos negócios, como a compra e venda de negócios;

(d) divulgada para autoridades de supervisão ou regulação;

(e) reportada a administradores seniores;

(f) sujeita à aprovação dos acionistas.

JUAREZ DOMINGUES CARNEIRO

Presidente do Conselho

EXEMPLOS ILUSTRATIVOS

Os exemplos a seguir acompanham, mas não são parte integrante da NBC TG 05 - Divulgação sobre Partes Relacionadas. Eles ilustram:

- a isenção parcial das entidades relacionadas com o Estado; e

- como a definição de parte relacionada seria aplicada em circunstâncias específicas.

Nos exemplos, as referências a demonstrações contábeis devem ser entendidas como referências a  demonstrações contábeis individuais, separadas ou consolidadas.

Isenção parcial das entidades relacionadas com o estado

Exemplo 1 - Isenção de divulgação (item 25)

EI1. O ente estatal G controla direta ou indiretamente as entidades 1 e 2 e as entidades A, B, C e D.

A pessoa X é membro do pessoal chave da administração da entidade 1. 

EI2. Para as demonstrações contábeis da entidade A, a isenção do item 25 deve ser aplicada a:

(a) transações com o ente estatal G; e

(b) transações com as entidades 1 e 2 e com as entidades B, C e D.

Contudo, a isenção não deve ser aplicada em transações com a pessoa X.

Exigências de divulgação quando a isenção é aplicada (item 26)

EI3. Nas demonstrações contábeis da entidade A, um exemplo de divulgação para pleno atendimento ao item 26(b)(i), para transações individualmente significativas, poderia ser:

Exemplo de divulgação para transações individualmente significativas realizadas fora das condições de mercado

Em 15 de janeiro de 20X1, a entidade A, companhia prestadora de serviços públicos de caráter essencial, da qual o ente estatal G detém indiretamente 75% das ações, vendeu uma área de 10 hectares para outra entidade relacionada com o Estado, também prestadora de serviços públicos de caráter essencial, por $ 5 milhões. Em 31 de dezembro de 20X0, uma área de terreno em localidade similar, com tamanho similar e com características similares, foi vendida por $ 3 milhões. Não ocorreu nenhuma valorização ou desvalorização da área nesse interstício temporal. Ver nota X (às demonstrações contábeis) para divulgação de assistências governamentais, conforme requerido pela NBC TG 07 - Subvenção e Assistência Governamentais e notas Y e Z (às demonstrações contábeis) para atendimento de outras normas do CFC relevantes.

Exemplo de divulgação para transações individualmente significativas realizadas em decorrência do tamanho da transação

No exercício encerrado em dezembro de 20X1, o ente estatal G concedeu à entidade A, companhia prestadora de serviços públicos de caráter essencial, da qual o ente estatal G detém indiretamente 75% das ações, um empréstimo equivalente a 50% das suas necessidades de capitalização (funding), a ser pago em prestações trimestrais ao longo dos próximos 5 anos. Os juros cobrados pelo empréstimo foram de 3% a.a., o que é comparável com o custo que a entidade A iria incorrer normalmente em empréstimos bancários (*). Ver as notas Y e Z (às demonstrações contábeis) para atendimento de outras normas do CFC relevantes.

(*) Se a entidade que reporta a informação concluir que essa transação constitui uma assistência governamental, ela deve levar em consideração as exigências de divulgação previstas na NBC TG 07.

Exemplo de divulgação de transações coletivamente significativas

Nas demonstrações contábeis da entidade A, um exemplo de divulgação para pleno atendimento ao item 26(b)(ii), para transações coletivamente significativas, pode ser:

O ente estatal G detém, indiretamente, 75% das ações da entidade A. As transações significativas da entidade A com o ente estatal G e com outras entidades controladas, de modo pleno ou em conjunto, ou que sofram influência significativa do ente estatal G são [grande parte de suas receitas com vendas de produtos ou compras de matérias-primas] ou [cerca de 50% de suas receitas com vendas de produtos e cerca de 35% de suas compras de matérias-primas].

A companhia ainda se beneficia das garantias do ente estatal G em empréstimos bancários obtidos.

Ver nota X (às demonstrações contábeis) para divulgação de assistências governamentais, conforme requerido pela NBC TG 07 e notas Y e Z (às demonstrações contábeis) para atendimento de outras normas do CFC relevantes.

Definição de parte relacionada

Exemplo 2 - Coligadas e controladas

EI4. A entidade controladora detém o controle das entidades A, B e C e exerce influência significativa sobre as entidades 1 e 2. A controlada C exerce influência significativa sobre a coligada 3.

EI5. Para fins das demonstrações contábeis separadas e individuais, as controladas A, B e C e as coligadas 1, 2 e 3 são consideradas partes relacionadas (item 9(b)(i) e (ii)).

EI6. Para fins das demonstrações contábeis da controlada A, a controladora, as controladas B e C e as coligadas 1, 2 e 3 são consideradas partes relacionadas. Para fins das demonstrações contábeis separadas e individuais da controlada B, a controladora, as controladas A e C e as coligadas 1, 2 e 3 são consideradas partes relacionadas. Para fins das demonstrações contábeis da controlada C, a controladora, as controladas A e B e as coligadas 1, 2 e 3 são consideradas partes relacionadas (item 9(b)(i) e (ii)).

EI7. Para fins das demonstrações contábeis das coligadas 1, 2 e 3, a controladora e as controladas A, B e C são consideradas partes relacionadas. As coligadas 1, 2 e 3 não são consideradas partes relacionadas entre elas (item 9(b)(ii)).

EI8. Para fins das demonstrações contábeis consolidadas da controladora, as coligadas 1, 2 e 3 são consideradas partes relacionadas com o grupo econômico (item 9(b)(ii)).

Exemplo 3 - Pessoal chave da administração

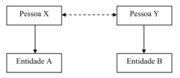
EI9. A pessoa X detém 100% de investimento na entidade A e é membro do pessoal chave da administração da entidade C. A entidade B detém 100% de investimento na entidade C. 

EI10. Para fins das demonstrações contábeis da entidade C, a entidade A é parte relacionada com a entidade C em função de a pessoa X controlar a entidade A e ser membro do pessoal chave da administração da entidade C (item 9(b)(vi)-(a)(iii)).

EI11. Para fins das demonstrações contábeis da entidade C, a entidade A também é parte relacionada com a entidade C se a pessoa X for membro do pessoal chave da administração da entidade B e não for da entidade C (item 9(b)(vi)-(a)(iii)).

EI12. Ademais, as possíveis situações descritas nos itens EI10 e EI11 produzem os mesmos efeitos se a pessoa X controlar de modo compartilhado a entidade A (item 9(b)(vi)-(a)(iii)).

(Se a pessoa X exercer tão somente influência significativa sobre a entidade A e não controlá-la de modo pleno ou em conjunto, então as entidades A e C não são consideradas partes relacionadas uma da outra).

EI13. Para fins das demonstrações contábeis da entidade A, a entidade C é parte relacionada com a entidade A em função de a pessoa X controlar a entidade A e ser membro do pessoal chave da administração da entidade C (item 9(b)(vii)-(a)(i)).

EI14. Ademais, a possível situação descrita no item EI13 produz o mesmo efeito se a pessoa X controlar de modo conjunto a entidade A. Produzirá também o mesmo efeito se a pessoa X for membro do pessoal chave da administração da entidade B e não for da entidade C (item 9(b)(vii)-(a)(i)).

EI15. Para fins das demonstrações contábeis consolidadas da entidade B, a entidade A é parte relacionada como grupo econômico, se a pessoa X for membro do pessoal chave da administração do grupo (item 9(b)(vi)-(a)(iii)).

Exemplo 4 - Pessoa como investidora

EI16. A pessoa X tem investimento na entidade A e na entidade B




EI17. Para fins das demonstrações contábeis da entidade A, se a pessoa X controlar, de modo pleno ou em conjunto, a entidade A, a entidade B é considerada parte relacionada da entidade A quando X controlar, de modo pleno ou em conjunto, ou exercer influência significativa sobre a entidade B (item 9(b)(vi)-(a)(i) e item 9(b)(vii)-(a)(i)).

EI18. Para fins das demonstrações contábeis da entidade B, se a pessoa X controlar, de modo pleno ou em conjunto, a entidade A, a entidade A é considerada parte relacionada da entidade B quando X controlar, de modo pleno ou em conjunto, ou exercer influência significativa sobre a entidade B (item 9(b)(vi)-(a)(i) e item 9(b)(vi)-(a)(ii)).

EI19. Se a pessoa X exercer influência significativa sobre ambas as entidades A e B, as entidades A e B não são consideradas partes relacionadas uma da outra.

Exemplo 5 - Membros próximos à família detentora de holding de investimentos

EI20. A pessoa X é sócia de Y. A pessoa X tem investimento na entidade A e a pessoa Y tem investimento na entidade B. 

EI21. Para fins das demonstrações contábeis da entidade A, se a pessoa X controlar, de modo pleno ou em conjunto, a entidade A, a entidade B é considerada parte relacionada com a entidade A quando a pessoa Y controlar, de modo pleno ou em conjunto, ou exercer influência significativa sobre a entidade B (item 9(b)(vi)-(a)(i) e item 9(b)(vii)-(a)(i)).

EI22. Para fins das demonstrações contábeis da entidade B, se a pessoa X controlar, de modo pleno ou em conjunto, a entidade A, a entidade A é considerada parte relacionada com a entidade B, quando a pessoa Y controlar, de modo pleno ou em conjunto, ou exercer influência significativa sobre a entidade B (item 9(b)(vi)-(a)(i) e item 9(b)(vi)-(a)(ii)).

EI23. Se a pessoa X exercer influência significativa sobre a entidade A e a pessoa Y exercer influência significativa sobre a entidade B, as entidades A e B não são consideradas partes relacionadas uma da outra.

Exemplo 6 - Entidade que exerça controle compartilhado (venturer)

EI24. A entidade A controla de modo conjunto a entidade B e, simultaneamente, exerce influência significativa e controla de modo conjunto a entidade C. 

EI25. Para fins das demonstrações contábeis da entidade B, a entidade C é considerada parte relacionada com a entidade B (item 9(b)(iii) e (iv)).

EI26. Similarmente, para fins das demonstrações contábeis da entidade C, a entidade B é considerada parte relacionada com a entidade C (item 9(b)(iii) e (iv)).

Exemplo 7 - Outras transações que devem ser divulgadas

EI27. Se ocorrerem com uma parte relacionada, em complemento aos constantes no item 21 da Norma, as seguintes transações devem ser divulgadas:

(a) prestação de serviços administrativos e/ou qualquer forma de utilização da estrutura física ou de pessoal da entidade pela outra ou outras, com ou sem contraprestação financeira;

(b) aquisição de direitos ou opções de compra ou qualquer outro tipo de benefício e seu respectivo exercício do direito;

(c) quaisquer transferências de bens, direitos e obrigações;

(d) concessão de comodato de bens imóveis ou móveis de qualquer natureza;

(e) manutenção de quaisquer benefícios para empregados de partes relacionadas, tais como: planos suplementares de previdência social, plano de assistência médica, refeitório, centros de recreação, etc.;

(f) limitações mercadológicas e tecnológicas.

NOTA EXPLICATIVA À NORMA

NE1. Esta nota explicativa acompanha, mas não é parte integrante da Norma. Destina-se esta nota a evidenciar situações em que a Norma possui certas diferenças com relação às Normas Internacionais de Contabilidade emitidas pelo IASB e, após isso, comentá-las.

NE2. O item 22A não existe na versão do IASB; assim, é um requerimento adicional no Brasil, mas não necessariamente em outras jurisdições.

NE3. O exemplo 7, item EI 27, do anexo exemplos ilustrativos, que acompanha, mas não é parte integrante da Norma, não existe na versão do IASB; esse foi um exemplo adicional que não contradiz a Norma.

NE4. O IASB, por meio do seu documento denominado Statement of Best Practice: Working Relationships between the IASB and other Accounting Standard-Setters, admite que as jurisdições façam exigências de informações adicionais às requeridas por ele e declara que isso não impede que as demonstrações contábeis assim elaboradas possam ser declaradas como estando conforme as Normas Internacionais de Contabilidade por ele emitidas.

NE5. Assim, a existência das diferenças comentadas nos itens NE2 e NE3 não faz com que as divulgações sobre partes relacionadas conforme esta Norma não estejam em conformidade com as normas do IASB.