Decreto Nº 56200 DE 19/11/2021


 Publicado no DOE - RS em 22 nov 2021


Modifica o Regulamento do Imposto sobre Operações Relativas à Circulação de Mercadorias e sobre Prestações de Serviços de Transporte Interestadual e Intermunicipal e de Comunicação (RICMS).


Sistemas e Simuladores Legisweb

O Governador do Estado do Rio Grande do Sul, no uso da atribuição que lhe confere o artigo 82, inciso V, da Constituição do Estado,

Decreta:

Art. 1º Com fundamento no Convênio ICMS 190/17, de 15 de dezembro de 2017, ratificado nos termos da Lei Complementar Federal nº 24, de 7 de janeiro de 1975, conforme Ato Declaratório CONFAZ nº 28/2017, publicado no Diário Oficial da União de 26 de dezembro de 2017, e no Convênio ICMS 135/2021 , de 3 de setembro de 2021, ratificado nos termos da Lei Complementar Federal nº 24, de 7 de janeiro de 1975, conforme Ato Declaratório CONFAZ nº 23/2021 , publicado no Diário Oficial da União de 24 de setembro de 2021, fica introduzida a seguinte alteração no Regulamento do ICMS, aprovado pelo Decreto nº 37.699 , de 26 de agosto de 1997:

ALTERAÇÃO Nº 5741 - No art. 32 do Livro I:

a) a nota do inciso V do § 1º passa a vigorar com a seguinte redação:

Art. 32. .....

.....

§ 1º .....

.....

V - .....

NOTA - O percentual de dependência interestadual será aferido, pela Receita Estadual, para cada crédito presumido enquadrado na categoria "livres", e corresponde à participação das entradas provenientes de outra unidade da Federação, de mercadorias para industrialização ou recebidas em transferência para comercialização e de bens destinados ao ativo imobilizado, no total dessas entradas, consideradas as operações realizadas pelos estabelecimentos beneficiados no ano-calendário anterior ao da aferição, nos termos de instruções baixadas pela Receita Estadual.

.....

b) a alínea "b" da nota 01 do § 2º passa a vigorar com a seguinte redação:

Art. 32. .....

.....

§ 2º .....

NOTA 01 - .....

.....

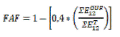
b) FAF calculado:

onde:
= somatório do valor das entradas provenientes de outra unidade da Federação de mercadorias para industrialização ou recebidas em transferência para comercialização e de bens destinados ao ativo imobilizado, nos 12 meses anteriores ao da apuração, considerados os CFOPs definidos nos termos de instruções baixadas pela Receita Estadual;

= somatório do valor das entradas totais de mercadorias para industrialização ou recebidas em transferência para comercialização e de bens destinados ao ativo imobilizado, nos 12 meses anteriores ao da apuração, considerados os CFOPs definidos nos termos de instruções baixadas pela Receita Estadual.

.....

Art. 2º Este Decreto entra em vigor na data de sua publicação, produzindo efeitos a partir de 1º de janeiro de 2022.

PALÁCIO PIRATINI, em Porto Alegre, 19 de novembro de 2021.

EDUARDO LEITE, Governador do Estado.

Registre-se e publique-se.

ARTUR DE LEMOS JÚNIOR, Secretário-Chefe da Casa Civil.