Decreto Nº 56117 DE 30/09/2021


 Publicado no DOE - RS em 30 set 2021


Modifica o Regulamento do Imposto sobre Operações Relativas à Circulação de Mercadorias e sobre Prestações de Serviços de Transporte Interestadual e Intermunicipal e de Comunicação (RICMS).


Impostos e Alíquotas

O Governador do Estado do Rio Grande do Sul, no uso da atribuição que lhe confere o artigo 82, inciso V, da Constituição do Estado,

Decreta:

Art. 1º Com fundamento no Convênio ICMS 190/2017 , de 15 de dezembro de 2017, ratificado nos termos da Lei Complementar Federal nº 24, de 7 de janeiro de 1975, conforme Ato Declaratório CONFAZ nº 28/2017, publicado no Diário Oficial da União de 26 de dezembro de 2017, e no Convênio ICMS 135/2021 , de 3 de setembro de 2021, ratificado nos termos da Lei Complementar Federal nº 24, de 7 de janeiro de 1975, conforme Ato Declaratório CONFAZ nº 23/2021 , publicado no Diário Oficial da União de 24 de setembro de 2021, fica introduzida a seguinte alteração no Regulamento do ICMS, aprovado pelo Decreto nº 37.699 , de 26 de agosto de 1997:

ALTERAÇÃO Nº 5698 - No art. 32 do Livro I, ficam acrescentados os §§ 1º e 2º com a seguinte redação:

§ 1º A partir de 1º de janeiro de 2022, os créditos fiscais presumidos de que trata este artigo ficam enquadrados nas seguintes categorias:

I - contratuais, quando concedidos com base em contrato ou acordo estabelecido entre contribuintes e o Estado do Rio Grande do Sul;

NOTA - Enquadram-se nesta categoria os créditos fiscais presumidos previstos nos seguintes incisos: XXVII, LII, LIII, LVIII, LXVIII, LXXIV, LXXXV, LXXXVI, XCVIII, CII, CIV, CXVII, CXXIV, CXXXIV, CXLVI, CXLVII, CXLIX, "a", CL, CLV, CLX, CLXIV, CLXV, CLXVI, CLXXI, CLXXXI, CXC, CXCI, CXCII, CXCIII, CXCIV e CXCV.

II - de fomento, quando concedidos para a formação de fundo com finalidade específica ou para o financiamento de política pública específica;

NOTA - Enquadram-se nesta categoria os créditos fiscais presumidos previstos nos seguintes incisos: XIX, CXXXII, CXLII, CLVI, CLXXIX, CLXXXVII, CLXXXVIII e CLXXXIX.

III - operacionais, quando concedidos com a finalidade de simplificar o cumprimento de obrigações relativas à apuração do imposto;

NOTA - Enquadram-se nesta categoria os créditos fiscais presumidos previstos nos seguintes incisos: IV, XXI, LI, CXXXVI e CLXXX.

IV - compensatórios, quando concedidos com a finalidade de reduzir custos de entrada de mercadorias e bens provenientes de outra unidade da Federação;

NOTA - Enquadram-se nesta categoria os créditos fiscais presumidos previstos nos seguintes incisos: VII, XXXI e XCI.

V - livres, quando não enquadrados nas categorias referidas nos incisos I a IV, divididos nas seguintes subcategorias, quanto à dependência interestadual:

NOTA - O percentual de dependência interestadual consiste na participação das entradas provenientes de outra unidade da Federação, de mercadorias para industrialização e de bens destinados ao ativo imobilizado, no total das entradas, consideradas as operações do ano-calendário anterior ao da aferição, nos termos de instruções baixadas pela Receita Estadual.

a) alta dependência interestadual, quando a dependência for maior que 75%;

NOTA - Enquadram-se nesta categoria os créditos fiscais presumidos previstos nos seguintes incisos: XCVII, CXIX e CLXXXVI.

b) baixa dependência interestadual, quando a dependência for igual ou menor que 75%.

NOTA - Enquadram-se nesta categoria os créditos fiscais presumidos previstos nos seguintes incisos: VIII, X, XI, XII, XIV, XXVI, XXXV, XXXVI, XXXVII, XLIX, L, LIV, LV, LIX, LX, LXI, LXII, LXIII, LXV, LXVI, LXIX, LXXI, LXXVI, LXXVII, LXXVIII, LXXIX, LXXXI, LXXXII, LXXXIII, LXXXVIII, LXXXIX, XCII, XCIV, XCVI, XCIX, CVI, CVII, CXII, CXIV, CXVI, CXVIII, CXXVI, CXXVII, CXXX, CXXXI, CXXXIII, CXXXV, CXXXIX, CXL, CXLI, CXLV, CXLIX, "b ", CLI, CLVIII, CLIX, CLXI, CLXIII, CLXVII, CLXIX, CLXX, CLXXIII, CLXXIV, CLXXV, CLXXVI, CLXXVII, CLXXVIII, CLXXXII, CLXXXIII, CLXXXIV e CLXXXV.

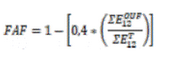
§ 2º Os créditos fiscais presumidos enquadrados como de "baixa dependência interestadual", conforme § 1º, V, "b ", em cada período de apuração, terão seu valor limitado ao montante resultante da multiplicação do valor apurado conforme incisos deste artigo pelo Fator de Ajuste de Fruição - FAF.

NOTA 01 - Para fins deste parágrafo, o FAF a ser adotado será o maior valor entre o tabelado e o calculado, conforme a seguir:

a) FAF tabelado:

ANO FAF
2022 0,95
2023 0,90
A partir de 2024 0,85

b) FAF calculado:

onde:

= somatório do valor das entradas, provenientes de outra unidade da Federação, de mercadorias para industrialização e de bens destinados ao ativo imobilizado, nos 12 meses anteriores ao da apuração, considerados os CFOPs definidos nos termos de instruções baixadas pela Receita Estadual;

= somatório do valor das entradas totais de mercadorias para industrialização e de bens destinados ao ativo imobilizado, nos 12 meses anteriores ao da apuração, considerados os CFOPs definidos nos termos de instruções baixadas pela Receita Estadual.

NOTA 02 - O limite previsto na nota 02 do "caput" deste artigo será aplicado após a obtenção do valor previsto neste parágrafo.

Art. 2º Este Decreto entra em vigor na data de sua publicação, produzindo efeitos a partir de 1º de janeiro de 2022.

PALÁCIO PIRATINI, em Porto Alegre, 30 de setembro de 2021.

EDUARDO LEITE, Governador do Estado.

Registre-se e publique-se.

ARTUR DE LEMOS JÚNIOR, Secretário-Chefe da Casa Civil.