Publicado no DOU em 27 set 2021
Define e consolida as regras do recolhimento compulsório sobre recursos a prazo.
A Diretoria Colegiada do Banco Central do Brasil, em sessão realizada em 23 de setembro de 2021, com base no art. 10, incisos III e IV, da Lei nº 4.595, de 31 de dezembro de 1964 , e no art. 66 da Lei nº 9.069, de 29 de junho de 1995 ,
Resolve:
CAPÍTULO I - DAS REGRAS GERAIS
Art. 1º Esta Resolução dispõe sobre o recolhimento compulsório sobre recursos a prazo.
Art. 2º Sujeitam-se ao recolhimento compulsório sobre recursos a prazo os bancos comerciais, bancos múltiplos, bancos de desenvolvimento, bancos de investimento, bancos de câmbio, caixas econômicas e sociedades de crédito, financiamento e investimento.
Art. 3º Constitui Valor Sujeito a Recolhimento - VSR a soma dos saldos inscritos nas seguintes rubricas contábeis do Padrão Contábil das Instituições Reguladas pelo Banco Central do Brasil - Cosif: (Redação do caput do artigo dada pela Resolução BCB Nº 426 DE 16/10/2024, efeitos a partir de 01/01/2025).
I - 4.1.5.10.00.00-3 DEPÓSITOS A PRAZO; (Redação do inciso dada pela Resolução BCB Nº 426 DE 16/10/2024, efeitos a partir de 01/01/2025).
II - 4.3.1.10.00.00-1 OBRIGAÇÕES POR ACEITES DE TÍTULOS CAMBIAIS; (Redação do inciso dada pela Resolução BCB Nº 426 DE 16/10/2024, efeitos a partir de 01/01/2025).
(Revogado pela Resolução BCB Nº 426 DE 16/10/2024, efeitos a partir de 01/01/2025):
III - 4.3.4.50.00-2 Cédulas Pignoratícias de Debêntures;
IV - 4.2.1.10.80.00-4 Títulos de Emissão Própria; e (Redação do inciso dada pela Resolução BCB Nº 426 DE 16/10/2024, efeitos a partir de 01/01/2025).
V - 4.9.9.12.20.00-5 Vinculados a Operações Realizadas com o Exterior. (Redação do inciso dada pela Resolução BCB Nº 426 DE 16/10/2024, efeitos a partir de 01/01/2025).
Parágrafo único. Não integra o VSR o saldo total da rubrica 4.1.5.10.55.00-3 Contratados com Fundos Garantidores - LC Nº 101 e LC Nº 130. (Redação do parágrafo dada pela Resolução BCB Nº 426 DE 16/10/2024, efeitos a partir de 01/01/2025).
Art. 4º A base de cálculo da exigibilidade de recolhimento compulsório sobre recursos a prazo corresponde à média aritmética dos VSR apurados nos dias úteis do período de cálculo, deduzida de R$ 30.000.000,00 (trinta milhões de reais).
Parágrafo único. O período de cálculo compreende os dias úteis de uma semana, com início na segunda-feira e término na sexta-feira.
Art. 5º A exigibilidade do recolhimento compulsório é apurada aplicando-se, sobre a base de cálculo de que trata o art. 4º, a alíquota de 20% (vinte por cento).
CAPÍTULO II - DAS DEDUÇÕES E ISENÇÕES
Art. 6º A exigibilidade, calculada na forma do art. 5º, será deduzida pela média, no período de cálculo, do valor do Limite Financeiro Total para as operações da Linha de Liquidez a Termo (LT.LLT) de que trata o art. 6º do Regulamento Anexo IV à Resolução BCB nº 374, de 27 de março de 2024. (Redação do caput dada pela Resolução BCB Nº 426 DE 16/10/2024, efeitos a partir de 01/01/2025).
§ 1º A dedução de que trata o caput é limitada ao valor de 3% (três por cento) da base de cálculo, na forma do art. 4º.
§ 2º O valor do LT.LLT, usado no cálculo da média, é o informado na abertura diária do sistema das Linhas Financeiras de Liquidez - LFL. (Redação do parágrafo dada pela Resolução BCB Nº 426 DE 16/10/2024, efeitos a partir de 01/01/2025).
Art. 7º A exigibilidade, calculada na forma do art. 5º, será deduzida das seguintes parcelas:
I - R$3.600.000.000,00 (três bilhões e seiscentos milhões de reais), para instituições financeiras independentes ou integrantes de conglomerado prudencial cujo Nível I do Patrimônio de Referência - PR seja inferior a R$3.000.000.000,00 (três bilhões de reais); (Redação do inciso dada pela Resolução BCB Nº 426 DE 16/10/2024, efeitos a partir de 01/01/2025).
II - R$2.400.000.000,00 (dois bilhões e quatrocentos milhões de reais), para instituições financeiras independentes ou integrantes de conglomerado prudencial cujo Nível I do PR seja igual ou superior a R$3.000.000.000,00 (três bilhões de reais) e inferior a R$10.000.000.000,00 (dez bilhões de reais); (Redação do inciso dada pela Resolução BCB Nº 426 DE 16/10/2024, efeitos a partir de 01/01/2025).
III - R$1.200.000.000,00 (um bilhão e duzentos milhões de reais), para instituições financeiras independentes ou integrantes de conglomerado prudencial cujo Nível I do PR seja igual ou superior a R$10.000.000.000,00 (dez bilhões de reais) e inferior a R$15.000.000.000,00 (quinze bilhões de reais); e (Redação do inciso dada pela Resolução BCB Nº 426 DE 16/10/2024, efeitos a partir de 01/01/2025).
IV - 0 (zero), para instituições financeiras independentes ou integrantes de conglomerado prudencial cujo Nível I do PR seja igual ou superior a R$15.000.000.000,00 (quinze bilhões de reais). (Redação do inciso dada pela Resolução BCB Nº 426 DE 16/10/2024, efeitos a partir de 01/01/2025).
§ 1º Para fins da dedução de que trata este artigo, será considerado, para as instituições financeiras independentes ou integrantes de conglomerado prudencial, o Nível I do PR relativo a 30 de junho de 2018, apurado na forma estabelecida pela resolução CMN que dispõe sobre a metodologia para apuração do PR. (Redação do parágrafo dada pela Resolução BCB Nº 426 DE 16/10/2024, efeitos a partir de 01/01/2025).
§ 2º Em caso de ausência da informação do Nível I do PR relativo a 30 de junho de 2018, será considerada, como critério para a dedução de que trata este artigo, a informação do último Nível I do PR anterior a 30 de junho de 2018 prestada pela instituição.
§ 3º Para as instituições financeiras em início de atividade, o valor de dedução será calculado conforme a primeira posição informada ao Banco Central do Brasil do Nível I do PR ou 0 (zero), enquanto ela não for informada.
(Revogado pela Resolução BCB Nº 426 DE 16/10/2024, efeitos a partir de 01/01/2025):
Art. 8º Sobre a exigibilidade, calculada na forma dos arts. 5º, 6º e 7º, incidirá dedução do valor equivalente a 15% (quinze por cento) do saldo devedor atualizado, verificados no último dia útil do período de cálculo, dos financiamentos concedidos no âmbito do Programa Emergencial de Suporte a Empregos, instituído pela Lei nº 14.043, de 19 de agosto de 2020 .
Parágrafo único. A dedução de que trata o caput poderá ser efetuada pela instituição financeira enquanto os referidos financiamentos estiverem contabilizados em seu ativo.
(Revogado pela Resolução BCB Nº 426 DE 16/10/2024, efeitos a partir de 01/01/2025):
Art. 9º Sobre a exigibilidade, calculada na forma dos arts. 5º, 6º, 7º e 8º, incidirá a dedução remanescente relativa ao saldo de Letras Financeiras de emissão própria recompradas pela instituição financeira emissora na forma do § 6º do art. 10 da Resolução nº 4.733, de 27 de junho de 2019, apurado na forma dos arts. 5º-B e 5º-C da Circular nº 3.916, de 22 de novembro de 2018, na data de referência de 30 de abril de 2020.
Parágrafo único. O valor remanescente utilizado para a dedução de que trata o caput é o valor de base apurado na data de referência de 30 de abril de 2020, progressivamente reduzido pelo valor nominal constante de 2% (dois por cento) do valor de base a cada período de cálculo a partir do período com início em 21 de junho de 2021 e término em 25 de junho de 2021, até sua extinção.
CAPÍTULO III - DO RECOLHIMENTO
Art. 10. A exigibilidade apurada vigora da segunda-feira da segunda semana posterior ao encerramento do período de cálculo, ou dia útil seguinte, se a segunda-feira não for dia útil, até a sexta-feira subsequente, devendo ser cumprida em espécie, mediante recolhimento em conta específica.
§ 1º O saldo de encerramento diário da respectiva conta de recolhimento deve corresponder a 100% (cem por cento) da exigibilidade.
§ 2º As instituições financeiras cujas exigibilidades sejam iguais ou inferiores a R$ 500.000,00 (quinhentos mil reais) estão isentas do recolhimento compulsório de que trata esta Resolução, devendo, no entanto, prestar as informações conforme estabelecido no art. 12 desta Resolução.
§ 3º O recolhimento da exigibilidade deve ser efetuado exclusivamente por instituição titular de conta Reservas Bancárias ou de Conta de Liquidação, que comandará a respectiva transferência a crédito da conta de recolhimento.
§ 4º A conta de recolhimento pode ser livremente movimentada pela instituição titular, a crédito de sua conta Reservas Bancárias ou Conta de Liquidação, durante o horário estabelecido para o funcionamento do Sistema de Transferência de Reservas (STR) do Banco Central do Brasil.
§ 5º A instituição não titular de conta Reservas Bancárias nem de Conta de Liquidação pode movimentar sua conta de recolhimento a crédito de conta Reservas Bancárias de sua livre escolha a cada movimentação.
CAPÍTULO IV - DO CUSTO FINANCEIRO
(Redação do caput dada pela Resolução BCB Nº 426 DE 16/10/2024, efeitos a partir de 01/01/2025):
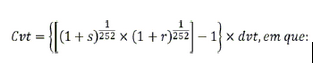
Art. 11. A instituição financeira que não observar as normas relativas à manutenção de saldo na conta de recolhimento compulsório sobre recursos a prazo incorre no pagamento de custo financeiro, que é devido no dia útil seguinte à data em que for verificada a deficiência e calculado com a utilização da seguinte fórmula:

I - Cvt = custo financeiro sobre a deficiência na posição diária verificada no dia "t", expresso com duas casas decimais, com arredondamento matemático;
II - s = Taxa Selic da data da deficiência ("t"), expressa de forma unitária, com quatro casas decimais;
III - r = acréscimo à Taxa Selic, correspondendo a 4% (quatro por cento) ao ano, expresso com quatro casas decimais; e
IV - dvt = deficiência na posição diária do recolhimento compulsório no dia "t", em que dvt = E -St, para todo St < E, sendo:
a) St = posição do dia "t" ou saldo de encerramento da respectiva conta de recolhimento no dia útil "t"; e
b) E = exigibilidade apurada na forma dos arts. 5º ao 7º para o respectivo período de movimentação.
§ 1º Os resultados parciais de multiplicação, divisão e potenciação utilizados nas expressões algébricas do cálculo dos custos financeiros de que trata esta Resolução devem conter 8 (oito) casas decimais, com arredondamento matemático.
§ 2º Os custos financeiros de que trata esta Resolução, quando pagos em data posterior à data em que devidos, serão atualizados desde a data em que devidos até a data do pagamento, com base na Taxa Selic.
§ 3º A devolução de custo previsto nesta Resolução, em decorrência de pagamento indevido, será feita com atualização do valor, desde a data do pagamento até a data de devolução, com base na Taxa Selic.
§ 4º Toda a movimentação relativa à cobrança ou à devolução dos custos financeiros de que trata esta Resolução será efetuada por meio do Sistema de Lançamentos do Banco Central (SLB).
§ 5º A instituição financeira que apresentar deficiência na posição diária do recolhimento compulsório sobre recursos a prazo por três dias úteis, consecutivos ou não, no período de dez dias úteis, deverá encaminhar, imediatamente, ao Departamento de Operações Bancárias e de Sistema de Pagamentos - Deban do Banco Central do Brasil, justificativas para a ocorrência, independentemente do pagamento do custo financeiro. (Redação do parágrafo dada pela Resolução BCB Nº 426 DE 16/10/2024, efeitos a partir de 01/01/2025).
CAPÍTULO V - DO ENVIO DA INFORMAÇÃO
Art. 12. A instituição deve fornecer, até o dia útil imediatamente anterior à data em que se inicia a vigência da respectiva exigibilidade, os dados diários relativos ao VSR do período de cálculo.
§ 1º A instituição financeira está dispensada de prestar as informações de que trata este artigo caso os valores sujeitos a recolhimento e outros relativos ao cumprimento da exigibilidade e deduções de recolhimento permaneçam inalterados em relação à última posição informada.
§ 2º Na hipótese de ausência de informações relativas a um ou mais dias do período de cálculo até o final do prazo fixado no caput, será atribuído a cada posição não informada o valor relativo à última posição informada.
§ 3º A instituição financeira que informar ou alterar os dados após o prazo fixado neste artigo sujeita-se às penalidades previstas na regulamentação em vigor.
Art. 13. A instituição financeira sujeita ao recolhimento compulsório de que trata esta Resolução, não titular de conta Reservas Bancárias ou de Conta de Liquidação, deverá indicar a instituição financeira titular de conta Reservas Bancárias à qual serão encaminhadas as cobranças pertinentes a custos financeiros, creditadas eventuais devoluções e realizadas as transferências de recursos entre a conta Reservas Bancárias da liquidante e a conta de recolhimento da instituição financeira.
Art. 13-A. A documentação comprobatória das informações objeto desta Resolução, salvo disposição em contrário, deverá ser mantida à disposição do Banco Central do Brasil pelo prazo mínimo de cinco anos, contados a partir da data a que se refere cada informação. (Artigo acrescentado pela Resolução BCB Nº 426 DE 16/10/2024, efeitos a partir de 01/01/2025).
(Redação do caput dada pela Resolução BCB Nº 426 DE 16/10/2024, efeitos a partir de 01/01/2025):
Art. 14. O saldo de encerramento diário da conta de recolhimento no Banco Central do Brasil, limitado ao valor da exigibilidade, receberá remuneração calculada com base na Taxa Selic, mediante utilização da seguinte fórmula:
I - R = remuneração a ser creditada, expressa com duas casas decimais, com arredondamento matemático;
II - S = saldo de encerramento da conta de recolhimento, limitado ao valor da exigibilidade calculada na forma dos arts. 5º ao 7º; e
III - Selic = Taxa Selic anual, no formato unitário, expressa com quatro casas decimais, referente à data do saldo a ser remunerado.
§ 1º A remuneração de que trata o caput é creditada na respectiva conta de recolhimento até as 16h30 do dia útil seguinte.
§ 2º Os resultados parciais de multiplicação, divisão e potenciação utilizados na expressão algébrica do cálculo da remuneração devem conter 8 (oito) casas decimais, com arredondamento matemático.
CAPÍTULO VII - DISPOSIÇÕES FINAIS
Art. 15. O disposto nesta Resolução deverá ser observado a partir do período de cálculo com início em 8 de novembro e término em 12 de novembro de 2021, cujo ajuste ocorrerá em 22 novembro de 2021.
Art. 16. Fica o Deban autorizado a adotar as medidas necessárias à execução do disposto nesta Resolução.
Art. 17. Ficam revogadas, após a produção de seus efeitos no período de cálculo com início em 1º de novembro de 2021 e término em 5 de novembro de 2021, cujo ajuste ocorrerá em 16 de novembro de 2021:
I - a Circular nº 3.916, de 22 de novembro de 2018;
II - a Circular nº 3.943, de 23 de maio de 2019;
III - a Circular nº 3.997, de 6 de abril de 2020;
IV - a Circular nº 4.001, de 13 de abril de 2020; e
V - a Resolução BCB nº 78, de 10 de março de 2021.
Art. 18. Esta Resolução entra em vigor em 1º de novembro de 2021.
BRUNO SERRA FERNANDES
Diretor de Política Monetária