Circular BACEN/DC Nº 3975 DE 08/01/2020


 Publicado no DOU em 10 jan 2020


Institui o recolhimento compulsório sobre recursos de depósitos de poupança em substituição ao encaixe obrigatório sobre recursos de depósitos de poupança.


Sistemas e Simuladores Legisweb

(Revogado pela Resolução BACEN/DC Nº 188 DE 23/02/2022, com efeitos a partir de 01/04/2022):

A Diretoria Colegiada do Banco Central do Brasil, em sessão realizada em 8 de janeiro de 2020, com base no art. 10, incisos III e IV, da Lei nº 4.595, de 31 de dezembro de 1964, e no art. 66 da Lei nº 9.069, de 29 de junho de 1995,

Resolve:

Art. 1º Fica instituído, em substituição ao encaixe obrigatório sobre recursos de depósitos de poupança, de que trata a Circular nº 3.093, de 1º de março de 2002, sem solução de continuidade, o recolhimento compulsório sobre recursos de depósitos de poupança captados por bancos múltiplos com carteira de crédito imobiliário, bancos comerciais, sociedades de crédito imobiliário, associações de poupança e empréstimo, caixas econômicas e cooperativas de crédito autorizadas pelo Banco Central do Brasil a captar depósitos de poupança na forma da regulamentação vigente.

Parágrafo único. Na hipótese de cooperativas de crédito que integrem sistema cooperativo, a comprovação do cumprimento da exigibilidade, bem como o recolhimento e o pagamento de custos financeiros de que trata o art. 6º desta Circular, é responsabilidade:

I - da cooperativa central de crédito, em sistema de dois níveis;

II - da confederação de crédito, em sistema de três níveis; e

III - do banco cooperativo, em sistema de três níveis no qual a confederação não seja de crédito.

Art. 2º Constituem Valores Sujeitos a Recolhimento (VSR) os saldos inscritos nas seguintes rubricas contábeis do Plano Contábil das Instituições do Sistema Financeiro Nacional (Cosif):

I - 4.1.2.00.00-3 Depósitos de Poupança; e

II - 6.2.1.00.00-3 APE - Recursos de Associados Poupadores.

Parágrafo único. Estão isentos do recolhimento compulsório os valores inscritos na rubrica contábil "4.1.2.60.40-7 Depósitos de Poupança Vinculada - Vinculadas a Carta de Crédito", do Cosif.

Art. 3º A base de cálculo da exigibilidade de recolhimento compulsório sobre recursos de depósitos de poupança corresponde à média aritmética da soma dos saldos inscritos nas rubricas de que tratam os incisos I e II do art. 2º desta Circular, relativos aos dias úteis do período de cálculo.

Parágrafo único. O período de cálculo compreende os dias úteis de uma semana, com início na segunda-feira e término na sexta-feira.

Art. 4º A exigibilidade de recolhimento compulsório para cada modalidade de poupança é apurada aplicando-se a alíquota de 20% (vinte por cento) sobre a base de cálculo de que trata o art. 3º.

Art. 5º A exigibilidade de recolhimento compulsório apurada para cada modalidade de depósito de poupança vigora da segunda-feira da segunda semana posterior ao encerramento do período de cálculo até a sexta-feira subsequente.

§ 1º O recolhimento deve ser efetuado exclusivamente em espécie, por intermédio de instituição titular de conta Reservas Bancárias ou de Conta de Liquidação, que comandará a respectiva transferência a crédito da conta de recolhimento correspondente a cada modalidade de depósito de poupança.

§ 2º O saldo de encerramento diário da conta de recolhimento correspondente a cada modalidade de depósito de poupança deve corresponder a 100% (cem por cento) da exigibilidade calculada na forma deste artigo e dos arts. 4º e 5º-A. (Redação do parágrafo dada pela Circular DC/BACEN Nº 4035 DE 01/07/2020).

§ 3º A conta de recolhimento correspondente a cada modalidade de depósito de poupança pode ser livremente movimentada pela instituição titular, a crédito
de conta Reservas Bancárias ou de Conta de Liquidação de sua livre escolha a cada movimentação.

§ 4º A movimentação da conta de recolhimento correspondente a cada modalidade de depósito de poupança observa o horário estabelecido para o funcionamento do Sistema de Transferência de Reservas (STR) do Banco Central do Brasil.

(Artigo acrescentado pela Circular DC/BACEN Nº 4033 DE 24/06/2020):

Art. 5º-A Sobre as exigibilidades dos recursos de depósitos de poupança, nas modalidades livre e rural, calculadas na forma dos arts. 4º e 5º, incidirão as seguintes deduções, com relação às operações contratadas e às aplicações realizadas a partir de 22 de junho de 2020 e até 31 de dezembro de 2020:

I - do saldo de operações de crédito para financiamento de capital de giro para empresas com faturamento anual de até R$ 50.000.000,00 (cinquenta milhões de reais), excluídos os refinanciamentos; (Redação do inciso dada pela Circular DC/BACEN Nº 4035 DE 01/07/2020).

II - do saldo de aplicações em Depósitos a Prazo com Garantia Especial (DPGE) de instituições que não pertençam ao próprio conglomerado; e (Redação do inciso dada pela Circular DC/BACEN Nº 4035 DE 01/07/2020).

III - do saldo de repasses interfinanceiros efetuados por bancos cooperativos a cooperativas singulares integrantes do mesmo sistema cooperativo de crédito destinados à concessão de operações de crédito para financiamento de capital de giro para empresas com faturamento anual de até R$ 50.000.000,00 (cinquenta milhões de reais), excluídos os refinanciamentos. (Inciso acrescentado pela Circular DC/BACEN Nº 4035 DE 01/07/2020).

§ 1º O somatório das deduções de que tratam os incisos I, II e III do caput será distribuído entre as duas modalidades de poupança, livre e rural, na proporção de seus VSRs. (Redação do parágrafo dada pela Circular DC/BACEN Nº 4035 DE 01/07/2020).

§ 2º O somatório das deduções de que tratam os incisos I, II e III do caput não poderá superar 30% (trinta por cento) da exigibilidade do recolhimento compulsório sobre recursos de depósitos de poupança, nas modalidades livre e rural, calculada na forma dos arts. 4º e 5º. (Redação do parágrafo dada pela Circular DC/BACEN Nº 4035 DE 01/07/2020).

§ 3º O somatório das deduções de que tratam os incisos I, II e III do caput deverá corresponder a, no mínimo, 5% (cinco por cento), a partir do período de cálculo com início em 10 de agosto de 2020, e 10% (dez por cento), a partir do período de cálculo com início em 8 de setembro de 2020 e até o período de cálculo com término em 31 de dezembro de 2020, da exigibilidade do recolhimento compulsório sobre recursos de depósitos de poupança, nas modalidades livre e rural, calculada na forma dos arts. 4º e 5º. (Redação do parágrafo dada pela Circular DC/BACEN Nº 4035 DE 01/07/2020).

§ 4º Estão excluídas das deduções de que tratam os incisos I e II do caput as Associações de Poupança e Empréstimo, as Sociedades de Crédito Imobiliário e as Cooperativas de Crédito.

§ 5º As deduções de que tratam os incisos I, II e III do caput serão aplicadas até o período de cálculo com início em 5 de junho de 2023 e término em 9 de junho de 2023, cujo ajuste ocorrerá em 19 de junho de 2023, ou até o vencimento das operações, o que ocorrer primeiro. (Redação do parágrafo dada pela Circular DC/BACEN Nº 4035 DE 01/07/2020).

(Redação do parágrafo dada pela Circular DC/BACEN Nº 4035 DE 01/07/2020):

§ 6º As operações de crédito para financiamento de capital de giro de que tratam os incisos I e III do caput somente serão consideradas para dedução se atenderem às seguintes condições:

I - prazo mínimo de 365 (trezentos e sessenta e cinco) dias; e

II - carência mínima de pagamento do principal de 180 (cento e oitenta) dias.

§ 7º As aplicações em DPGE de que trata o inciso II do caput somente serão consideradas para dedução se atenderem às seguintes condições:

I - ter como depositárias instituições que pertençam aos segmentos de regulação prudencial S3, S4 e S5, tal como definidos no art. 2º da Resolução nº 4.553, de 30 de janeiro de 2017; e

II - contemplar instituições dos segmentos S4 e S5, considerados conjuntamente, com no mínimo 30% (trinta por cento) do saldo das aplicações que será utilizado como dedução até 31 de dezembro de 2020.

§ 8º Os bancos cooperativos que efetuarem repasses interfinanceiros na forma do inciso III do caput ficam responsáveis pela comprovação de que os recursos repassados tenham sido corretamente aplicados pelas cooperativas singulares destinatárias, incorrendo em custos financeiros na forma da regulamentação em vigor na hipótese de deficiência no recolhimento compulsório decorrente de eventual exclusão de aplicações efetuadas em desacordo com a regulamentação de regência. (Parágrafo acrescentado pela Circular DC/BACEN Nº 4035 DE 01/07/2020).

Art. 6º A instituição financeira que não observar as normas relativas à manutenção de saldo na conta de recolhimento correspondente a cada modalidade de depósito de poupança incorre no pagamento de custo financeiro, na forma prevista na regulamentação em vigor.

(Redação do caput dada pela Resolução Conjunta SESAU/SEMADUR Nº 7 DE 24/06/2020):

Art. 7º O saldo de encerramento diário da conta de recolhimento correspondente a cada modalidade de depósito de poupança, no Banco Central do Brasil, faz jus a remuneração, creditada à respectiva conta de recolhimento até às 16h30 do dia útil seguinte e calculada com base na Taxa Referencial (TR), acrescida dos juros abaixo, como segue:

em que:

R = remuneração a ser creditada, expressa com duas casas decimais, com arredondamento matemático;

E = exigibilidades dos recursos de depósitos de poupança, nas modalidades livre e rural, calculadas na forma dos arts. 4º e 5º;

P = quociente da divisão do saldo médio diário, no período de cálculo, dos depósitos de poupança efetuados depois de 3 de maio de 2012, pelo saldo médio diário do total de depósitos de poupança, expresso no formato unitário com oito casas decimais e com arredondamento matemático, para cada modalidade de depósito de poupança;

TR = TR de cada dia útil, expressa com quatro casas decimais, válida para o período com término no dia correspondente do mês subsequente, convertida ao formato unitário;

n = número de dias úteis entre o dia de referência da TR utilizada para o cálculo da remuneração e o dia correspondente ao dia de referência da TR no mês seguinte;

A = acréscimo à TR, correspondendo a:

I - 0,03 (três centésimos), no caso do recolhimento compulsório sobre os depósitos de poupança da modalidade poupança vinculada;

II - 0,0617 (seiscentos e dezessete décimos de milésimos), no caso do recolhimento compulsório sobre as demais modalidades de depósitos de poupança;

m = número de dias corridos entre a data do saldo a ser remunerado e a data do crédito da respectiva remuneração;

D = Deduções de exigibilidade de que trata o art. 5º-A;

B = acréscimo à TR, correspondendo a:

I - 0,03 (três centésimos), no caso do recolhimento compulsório sobre os depósitos de poupança da modalidade poupança vinculada;

II - no caso do recolhimento compulsório sobre as demais modalidades de depósitos de poupança:

a) 0,0617 (seiscentos e dezessete décimos de milésimos), enquanto a meta da taxa Selic ao ano, definida pelo Banco Central do Brasil, for superior a 8,5% (oito inteiros e cinco décimos por cento); ou

b) 70% (setenta por cento) da meta da taxa Selic ao ano, definida pelo Banco Central do Brasil, vigente na data do saldo a ser remunerado, enquanto a meta da referida taxa for igual ou inferior a 8,5% (oito inteiros e cinco décimos por cento);

S = saldo de encerramento diário da conta de recolhimento correspondente a cada modalidade de depósito de poupança, limitado à respectiva exigibilidade calculada na forma dos arts. 4º, 5º e 5º-A;

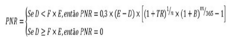
PNR = Parcela não remunerada de que trata o § 3º, calculada como segue:

em que:

§ 1º Quando inexistente o dia correspondente ao dia de referência da TR no mês seguinte, será considerado como término do período o dia primeiro do mês posterior.

§ 2º Os resultados parciais de multiplicação, divisão e potenciação utilizados na expressão algébrica do cálculo da remuneração devem conter oito casas decimais, com arredondamento matemático.

§ 3º Em caso de descumprimento dos montantes mínimos de dedução de que trata o § 3º do art. 5º-A, o montante equivalente a 30% (trinta por cento) do saldo da exigibilidade do recolhimento compulsório sobre recursos de depósitos de poupança, nas modalidades livre e rural, calculada na forma dos arts. 4º, 5º e 5º-A, não fará jus à remuneração. (Parágrafo acrescentado pela Circular DC/BACEN Nº 4033 DE 24/06/2020).

§ 4º O controle do disposto no § 3º será realizado no último dia de cada período de cálculo e implicará efeitos na remuneração de todos os dias do respectivo período de movimentação. (Parágrafo acrescentado pela Circular DC/BACEN Nº 4033 DE 24/06/2020).

Art. 8º A instituição financeira deve fornecer, até o dia útil imediatamente anterior à data em que inicie a vigência da respectiva exigibilidade, os dados diários relativos à correspondente base de cálculo.

§ 1º A instituição financeira está dispensada de prestar as informações de que trata este artigo caso os valores sujeitos a recolhimento e outros relativos ao cumprimento da exigibilidade e deduções de recolhimento permaneçam inalterados em relação à última posição informada.

§ 2º Na hipótese de ausência de informações relativas a um ou mais dias do período de cálculo até o final do prazo fixado no caput, será atribuído a cada posição não informada o valor relativo à última posição informada.

§ 3º A instituição financeira que informar ou alterar os dados após o prazo fixado neste artigo sujeita-se às penalidades previstas na regulamentação em vigor.

Art. 9º Além das informações diárias para cálculo da exigibilidade de recolhimento compulsório, as instituições financeiras devem informar os dados necessários à verificação do direcionamento obrigatório dos recursos de poupança captados pelas entidades integrantes do Sistema Brasileiro de Poupança e Empréstimo (SBPE), até o último dia útil imediatamente anterior à data de verificação do cumprimento do direcionamento.

Parágrafo único. A instituição financeira que informar ou alterar os dados após o prazo fixado neste artigo sujeita-se às penalidades previstas na regulamentação em vigor.

Art. 10. A instituição financeira sujeita ao recolhimento compulsório de que trata esta Circular, não titular de conta Reservas Bancárias ou de Conta de Liquidação, deverá indicar a instituição financeira titular de conta Reservas Bancárias à qual serão encaminhadas as cobranças, pertinentes a custos financeiros, e creditadas eventuais devoluções.

Art. 11. Fica o Departamento de Operações Bancárias e de Sistema de Pagamentos (Deban) autorizado a adotar as medidas necessárias à execução do disposto nesta Circular.

Art. 12. Ficam revogadas:

I - a Circular nº 3.093, de 1º de março de 2002; e

II - a Circular nº 3.529, de 29 de março de 2011.

Art. 13. Esta Circular entra em vigor na data de sua publicação.

BRUNO SERRA FERNANDES

Diretor de Política Monetária