Resolução BACEN Nº 4645 DE 16/03/2018


 Publicado no DOU em 19 mar 2018


Define metodologia para cálculo da Taxa de Juros de Longo Prazo (TJLP).


Sistemas e Simuladores Legisweb

O Banco Central do Brasil, na forma do art. 9º da Lei nº 4.595, de 31 de dezembro de 1964, torna público que o Conselho Monetário Nacional, em sessão extraordinária realizada em 16 de março de 2018, com base no art. 2º da Lei nº 9.365, de 16 de dezembro de 1996,

Resolveu:

Art. 1º A Taxa de Juros de Longo Prazo (TJLP), de que trata o art. 2º da Lei nº 9.365, de 16 de dezembro de 1996, a vigorar a partir de 1º de abril de 2018, será calculada segundo a metodologia estabelecida nesta Resolução.

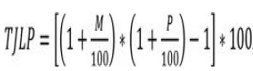
Art. 2º A TJLP, que vigorará durante cada trimestre calendário, será apurada de acordo com a seguinte fórmula, expressa em forma percentual, com duas casas decimais:
, em que:

I - "M" corresponde à meta de inflação de doze meses mencionada no inciso I do art. 1º da Lei nº 9.365, de 1996, expressa em forma percentual, com duas casas decimais; e

II - "P" corresponde ao prêmio de risco mencionado no inciso II do art. 1º da Lei nº 9.365, de 1996, expresso em forma percentual, com duas casas decimais.

Parágrafo único. O valor da TJLP terá como limite superior o valor da meta para a Taxa Selic definida pelo Comitê de Política Monetária (Copom), de que trata a Circular nº 3.868, de 19 de dezembro de 2017, vigente na data de divulgação da TJLP, expressa em forma percentual, com duas casas decimais, quando o valor dessa meta for igual ou superior a 8,50% (oito e meio por cento).

Art. 3º A meta de inflação "M" mencionada no inciso I do art. 2º desta Resolução será calculada pro rata para os doze meses seguintes ao primeiro mês de vigência da TJLP, inclusive, baseada nas metas anuais fixadas pelo Conselho Monetário Nacional.

Art. 4º O prêmio de risco "P" mencionado no inciso II do art. 2º desta Resolução será apurado de acordo com as seguintes fórmulas:

I - No caso de NTNm ³ 4:

P = NTNm - 2; e

II - No caso de NTNm < 4:

P = 0,5. NTNm.

Parágrafo único. A taxa "NTNm" mencionada no caput corresponderá à média aritmética simples das taxas apuradas a cada dia útil dos seis meses imediatamente anteriores ao dia de sua apuração, contados de data a data, relativas aos vértices de três anos da estrutura a termo da taxa de juros das Notas do Tesouro Nacional, Série B (NTN-B), e será expressa em termos percentuais, com duas casas decimais, sob a forma anual, considerando a convenção de 252 (duzentos e cinquenta e dois) dias úteis.

Art. 5º A estrutura a termo da taxa de juros de que trata o parágrafo único do art. 4º será estimada diariamente, por meio de modelo paramétrico que utilize metodologia de minimização de erros em relação a preços de mercado das NTN-B.

§ 1º A base de dados para a apuração dos preços de mercado mencionados no caput será composta pelas operações definitivas realizadas no mercado
secundário, registradas no Sistema Especial de Liquidação e de Custódia (Selic), para todos os vencimentos de NTN-B disponíveis.

§ 2º Serão excluídas da base de dados, segundo critérios do Banco Central do Brasil:

I - as NTN-B de determinada data de vencimento que sistematicamente não forem negociadas no mercado secundário; e

II - as operações realizadas com preços que divirjam de forma desarrazoada do preço médio de mercado.

§ 3º Caso não seja possível estimar adequadamente o preço da NTN-B de um ou mais vencimentos, por não haver, a critério do Banco Central do Brasil, negociações suficientes no mercado secundário, serão utilizados preços indicativos que tenham ampla aceitação como referência de preços no mercado financeiro nacional.

§ 4º Na eventual impossibilidade da estimação mencionada no caput, inclusive em virtude de insuficiência de informações sobre negociações no mercado secundário e, simultaneamente, ausência dos preços indicativos mencionados no § 3º, poderão ser adotados parâmetros estimados com base nos dados do dia útil imediatamente anterior.

Art. 6º O Banco Central do Brasil deverá apurar e divulgar a TJLP no último dia útil de cada trimestre imediatamente anterior ao de sua vigência.

Art. 7º Fica o Banco Central do Brasil autorizado a baixar as normas e a adotar as medidas julgadas necessárias à execução do disposto nesta Resolução.

Art. 8º Esta Resolução entra em vigor na data de sua publicação.

ILAN GOLDFAJN

Presidente do Banco Central do Brasil