Publicado no DOU em 11 dez 2017
Estabelece os procedimentos para o cálculo da parcela dos ativos ponderados pelo risco na forma simplificada relativa ao cálculo do capital requerido para o risco operacional mediante abordagem padronizada simplificada (RWAROSimp). (Redação da ementa dada pela Resolução DC/BACEN Nº 266 DE 25/11/2022).
A Diretoria Colegiada do Banco Central do Brasil, em sessão realizada em 7 de dezembro de 2017, com base no disposto nos arts. 9º, 10, inciso IX, e 11, inciso VII, da Lei nº 4.595, de 31 de dezembro de 1964, nos arts. 9º, inciso II, e 15 da Lei nº 12.865, de 9 de outubro de 2013, e tendo em conta o disposto no art. 11 da Resolução nº 4.606, de 19 de outubro de 2017, e no art. 9º da Resolução BCB nº 201, de 11 de março de 2022, resolve: (Redação do preâmbulo dada pela Resolução DC/BACEN Nº 266 DE 25/11/2022).
Resolve:
CAPÍTULO I DO OBJETO DE APLICAÇÃO
Art. 1º Esta Circular estabelece os procedimentos para o cálculo da parcela dos ativos ponderados pelo risco na forma simplificada relativa ao cálculo do requerimento de capital para cobertura do risco operacional mediante abordagem padronizada simplificada (RWAROSimp), de que tratam a Resolução CMN nº 4.606, de 19 de outubro de 2017, e a Resolução BCB nº 201, de 11 de março de 2022. (Redação do artigo dada pela Resolução DC/BACEN Nº 266 DE 25/11/2022).
CAPÍTULO II DO CÁLCULO DA PARCELA RWA ROSimp
Art. 2º O valor da parcela RWA ROSimp deve ser apurado semestralmente, considerados os últimos três períodos anuais.
§ 1º Para fins do disposto nesta Circular, entende-se como período anual o conjunto de dados correspondentes a dois semestres consecutivos que se encerram na data-base de 30 de junho ou de 31 de dezembro.
§ 2º O valor da parcela RWA ROSimp deve ser apurado com informações relativas às datas-bases mencionadas no § 1º.
§ 3º O valor da parcela RWA ROSimp apurado com informações relativas a cada data-base deve ser mantido até a data-base seguinte.
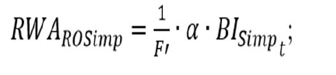
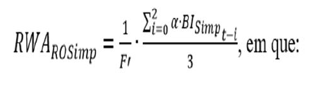
Art. 3º O valor da parcela RWA ROSimp deve ser apurado com base na seguinte fórmula:.png)
(Redação do inciso dada pela Resolução DC/BACEN Nº 266 DE 25/11/2022):
a) requerimento mínimo de PR S5 , conforme estabelecido no art. 12 da Resolução nº 4.606, de 19 de outubro de 2017, para instituição do Tipo 1 optante pela metodologia simplificada; ou (Redação da alínea dada pela Resolução BCB Nº 447 DE 19/12/2024, efeitos a partir de 01/01/2025).
b) 17% (dezessete por cento) para instituição do Tipo 3 optante pela metodologia simplificada; (Redação da alínea dada pela Resolução BCB Nº 447 DE 19/12/2024, efeitos a partir de 01/01/2025).
(Redação do inciso dada pela Resolução DC/BACEN Nº 266 DE 25/11/2022):
II -a= 5% (cinco por cento) para:
a) instituição pertencente ao grupo I ou ao grupo II de que tratam os incisos I e II do art. 2º da Resolução nº 4.606, de 2017; ou
b) conglomerado do Tipo 3 que pertença ao grupo II de que trata o art. 2º, inciso I, da Resolução BCB nº 201, de 2022;
(Redação do inciso dada pela Resolução DC/BACEN Nº 266 DE 25/11/2022):
III -a= 15% (quinze por cento) para:
a) instituição pertencente ao grupo III de que trata o art. 2º, inciso III, da Resolução nº 4.606, de 2017; ou
b) instituição do Tipo 3 que pertença ao grupo III de que trata o art. 2º, caput, inciso II, da Resolução BCB nº 201, de 11 de março de 2022; e (Redação da alínea dada pela Resolução BCB Nº 447 DE 19/12/2024, efeitos a partir de 01/01/2025).
IV - BI Simpt = Indicador Simp lificado de Exposição ao Risco Operacional no período anual "t".
Parágrafo único. A classificação por tipo para fins da aplicação das normas de competência do Banco Central do Brasil é definida na Resolução BCB nº 436, de 28 de novembro de 2024. (Parágrafo acrescentado pela Resolução BCB Nº 447 DE 19/12/2024, efeitos a partir de 01/01/2025).
Art. 4º O BI Simp corresponde, para cada período anual, à soma dos seguintes componentes:
.png)
I - CFA t = componente financeiro ampliado do período anual "t"; e
II - CS t = componente de prestação de serviços e outros resultados operacionais do período anual "t".
§ 1º O componente CFAt deve ser apurado, em cada período anual "t", de acordo com a seguinte fórmula:
CFA t = Abs (RJt - Abs (DJ t ) + RP t ) + Abs (RFL t ), em que:
I - Abs(.) é a função que retorna o valor absoluto do parâmetro;
II - RJ t = receitas de juros e arrendamentos do período anual "t";
III - DJ t = despesas de juros e arrendamentos do período anual "t";
IV - RP t = receitas de participações do período anual "t"; e
V - RFL t = resultado financeiro líquido referente ao período anual "t".
§ 2º O componente CSt deve ser apurado, em cada período anual "t", de acordo com a seguinte fórmula:
CS t = Max (RS t ; Abs (DS t )) + Max (ORO t ; Abs(ODO t )), em que:
I - Abs(.)é a função que retorna o valor absoluto do parâmetro;
II - Max(.)é a função que retorna o maior valor dentre os diferentes parâmetros;
III - RS t = receitas de serviços do período anual "t";
IV - DS t = despesas de serviços do período anual "t";
V - ORO t = outras receitas operacionais do período anual "t"; e
VI - ODO t = outras despesas operacionais do período anual "t".
(Parágrafo acrescentado pela Resolução DC/BACEN Nº 266 DE 25/11/2022):
§ 3º A instituição sujeita ao cálculo do RWA SP , conforme o disposto no art. 11 da Resolução nº 4.606, de 19 de outubro de 2017, e no art. 9º da Resolução BCB nº 201, de 11 de março de 2022, deve excluir do cálculo do BI Simp as receitas e despesas referentes aos seguintes serviços de pagamento: (Redação dada pela Resolução BCB Nº 447 DE 19/12/2024, efeitos a partir de 01/01/2025).
I - à emissão de moeda eletrônica (MOE), conforme disposto no art. 3º, inciso I, da Resolução BCB nº 80, de 25 de março de 2021;
II - ao credenciamento de instrumento de pagamento (ADQ), conforme disposto no art. 3º, inciso III, da Resolução BCB nº 80, de 2021, e ao subcredenciamento, conforme o disposto na Resolução BCB nº 150, de 2021; e
III - à iniciação de transação de pagamentos (PISP), conforme disposto no art. 3º, inciso IV, da Resolução BCB nº 80, de 2021.
§ 4º Na apuração do BISimp devem ser consideradas as receitas referentes ao serviço de emissão de instrumento de pagamento pós-pago (CPOS), conforme disposto no art. 3º, inciso II, da Resolução BCB nº 80, de 2021. (Parágrafo acrescentado pela Resolução DC/BACEN Nº 266 DE 25/11/2022).
Art. 5º A instituição que ainda não tenha completado três períodos anuais em atividade deve efetuar o cálculo da parcela RWA ROSimp da seguinte forma:
I - enquanto a instituição não tenha completado a terceira data-base em atividade, a parcela RWA ROSimp deve corresponder a:
a) 10% (dez por cento) do somatório das parcelas RWA RCSimp e RWA CAMSimp , caso a instituição pertença ao grupos I ou II;
b) 160% (cento e sessenta por cento) do somatório das parcelas RWA RCSimp e RWA CAMSimp , caso a instituição pertença ao grupo III;
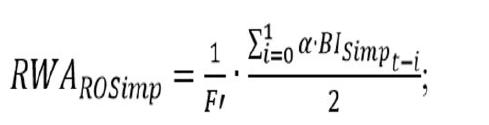
II - após a instituição completar a terceira data-base em atividade, o cálculo da parcela RWA ROSimp deve:
a) apurar o BI Simpt com base nas informações relativas às duas últimas datas-bases; e
b) utilizar a seguinte fórmula:
.png)
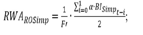
III - após a instituição completar a quarta data-base em atividade, o cálculo da parcela RWA ROSimp deve:
a) apurar o BI Simpt com base nas informações relativas às três últimas datas-bases; e
b) utilizar a seguinte fórmula:.png)
IV - após a instituição completar a quinta data-base em atividade, o cálculo da parcela RWA ROSimp deve:
a) apurar o BI Simpt com base nas informações relativas aos dois últimos períodos anuais; e
b) utilizar a seguinte fórmula:.png)
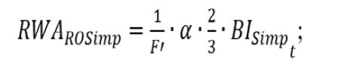
V - após a instituição completar a sexta data-base em atividade, o cálculo da parcela RWA ROSimp deve:
a) apurar o BI Simpt relativo ao período anual mais recente com base nas informações relativas às duas últimas datas-bases;
b) apurar o BI Simpt relativo ao segundo período anual com base nas informações referentes aos três semestres imediatamente anteriores àqueles do período anual mais recente, multiplicando-se a soma dos componentes do BI Simpt por 2/3 (dois terços); e
c) utilizar a seguinte fórmula:.png)
VI - após a instituição completar a sétima data-base em atividade, o cálculo da parcela RWA ROSimp deve ser feito com a fórmula prevista no art. 3º.
Art. 6º A instituição resultante de processo de fusão ou incorporação deve efetuar o cálculo da parcela RWA ROSimp utilizando o somatório dos subcomponentes mencionados no art. 4º, §§ 1º e 2º, de cada instituição original, para apuração do BI Simp da instituição resultante. (Redação do artigo dada pela Resolução BCB Nº 447 DE 19/12/2024, efeitos a partir de 01/01/2025).
Art. 7º A instituição resultante de processo de cisão deve efetuar o cálculo da parcela RWA ROSimp utilizando valores para os subcomponentes mencionados no art. 4º, §§ 1º e 2º, de maneira proporcional à divisão verificada nos ativos da instituição original. (Redação do artigo dada pela Resolução BCB Nº 447 DE 19/12/2024, efeitos a partir de 01/01/2025).
Art. 8º Os procedimentos definidos nos arts. 5º, 6º e 7º somente podem ser utilizados para os períodos anuais em que as informações relativas à nova instituição não estiverem disponíveis.
Art. 9º As instituições integrantes de conglomerado prudencial nos termos do Plano Contábil das Instituições do Sistema Financeiro Nacional (Cosif) devem efetuar o cálculo do montante RWA ROSimp com base em demonstrações contábeis consolidadas.
Art. 10. A instituição que deixe de elaborar as demonstrações contábeis na forma individual e passe a elaborá-las na forma do conglomerado prudencial, ou vice-versa, deve efetuar o cálculo da parcela RWA ROSimp da seguinte forma:
I - enquanto a instituição não tenha completado a terceira data-base na forma atual de elaboração das demonstrações contábeis, a parcela RWA ROSimp deve corresponder ao somatório das parcelas RWA RC Simp e RWA CAMSimp , multiplicado pelo máximo entre:
a) o quociente entre o saldo da parcela RWA ROSimp e o somatório dos saldos das parcelas RWARC Simp e RWA CAMSimp , apurados antes da mudança na forma de elaboração das demonstrações contábeis mencionada no caput;
(Redação da alínea dada pela Resolução BCB Nº 447 DE 19/12/2024, efeitos a partir de 01/01/2025):
b) 10% (dez por cento) no caso de:
1. instituição do Tipo 1 que pertença ao grupo I ou ao grupo II, de que trata o art. 2º, caput, incisos I e II, da Resolução nº 4.606, de 19 de outubro de 2017; ou
2. instituição do Tipo 3 que pertença ao grupo II, de que trata o art. 2º, caput, inciso I, da Resolução BCB nº 201, de 11 de março de 2022; ou
(Redação da alínea dada pela Resolução BCB Nº 447 DE 19/12/2024, efeitos a partir de 01/01/2025):
c) 160% (cento e sessenta por cento) no caso de:
1. instituição do Tipo 1 que pertença ao grupo III, de que trata o art. 2º, caput, inciso III, da Resolução nº 4.606, de 19 de outubro de 2017; ou
2. instituição do Tipo 3 que pertença ao grupo III, de que trata o art. 2º, caput, inciso II, da Resolução BCB nº 201, de 11 de março de 2022; e
II - após a instituição completar a terceira data-base, contada a partir da mudança na forma de elaboração das demonstrações contábeis, a parcela RWA ROSimp deve corresponder ao disposto no art. 5º.
Art. 11. Os dados utilizados no cálculo do montante RWAS5 devem ser conciliados com as informações auditadas semestral e anualmente.
CAPÍTULO III DA DISPOSIÇÃO FINAL
Art. 12. Esta Circular entra em vigor em 18 de fevereiro de 2018.
OTÁVIO RIBEIRO DAMASO
Diretor de Regulação